Dear Readers,
As SSC CPO notification is out and candidates have started their preparation for this exam. Mahendras also has started special quizzes for this examination. This series of the quizzes are based on the latest pattern of the CPO examination. Regular practice of the questions included in the quizzes will boost up your preparations and it will be very helpful in scoring good marks in the examination.
(1) In a ∆ABC, D is the point on BC. AB is produce to E and AC is produce to F. A circle is passes through DEF, where AB=10 cm, AC = 8.6 cm and BC = 6.4 cm, then find the value of BE?
एक वृत्त ∆ABC की भुजा BC को D पर स्पर्श करती है और AB और AC को क्रमशः E और F तक खींचा गया है । यदि AB = 10 सेमी, AC = 8.6 सेमी और BC = 6.4 सेमी, तो BE का मान ज्ञात कीजिये ?
(A) 3.5 cm
(B) 3.2 cm
(C) 2.5 cm
(D) 2.2 cm
(2) In ∆ABD, C is the midpoint of BD. If AD = 10cm, AD = 12 cm and AC = 9cm, then BD = ?
∆ABD में , C, BD का मध्यबिंदु है , यदि AB = 10 सेमी,AD = 12 सेमी और AC = 9 सेमी है , तो BD = ?
(A) 2√10 cm
(B) √10 cm
(C) √41 cm
(D) 2√41 cm
(3) In a group of 120 students average age is 13.56 years. 65% of the number of students is boys and the rest are girls. If the ratio between the average age of boys and girls is 6:5, then find the average age (in years) of the girls?
120 छात्रों के एक समूह की औसत आयु 13.56 वर्ष है । कुल छात्रों में से 65% लड़के हैं और शेष लड़कियां हैं । यदि लड़के और लड़कियों की औसत आयु के बीच का अनुपात 6 : 5 है , तो लड़कियों की औसत आयु (वर्षों में ) क्या है ?
(A) 11.6
(B) 10
(C) 12
(D) 14.4
(4) If in ∆ABC, D and E are the points on AB and BC respectively such that DE||AC, and AD:AB = 3:8, then (area of ∆BDE) (area of quadrilateral DECA) = ?
यदि ∆ABC में , AB और BC पर क्रमशः दो बिंदु D और E इस प्रकार हैं कि DE||AC है, और AD : AB = 3 : 8 है, तो (∆BDE का क्षेत्रफल ): ( चतुर्भुज DECA का क्षेत्रफल)= ?
(A) 9:64
(B) 9:55
(C) 8:13
(D) 25:39
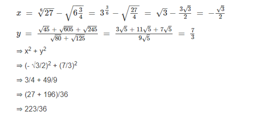
(5) Let x =
माना x =
(A) 223/36
(B) 227/9
(C) 221/36
(D) 221/9
(6) If in ∆PQR,
यदि ∆PQR में
(A) 30°
(B) 40°
(C) 20°
(D) 50°
(7) If 50% of 1/4 of x is equal to 5/2 times the value of 25% of three-tenth of y, then x is what percent more or less than y?
यदि x का 1/4 का 50% , y के 5/2 गुने के 3/10 के 25% के बराबर है , तो बताइए कि x ,y से कितना प्रतिशत कम या अधिक है ?
(A) 50% less / 50% कम
(B) 50% more/ 50% अधिक
(C) 33.33% less/33.33% कम
(D) 33.33% more/ 33.33 % अधिक
(8) How many kilograms of salt, at Rs. 28 per kg must be mixed with 39.6 kgs of salt, at Rs. 16 per kg, so that by selling the mixture at Rs. 29.90, there is a gain of 15%?
28 रुपये प्रति किग्रा मूल्य वाले नमक की कितनी मात्रा को 16 रुपये प्रति किग्रा वाले 39.6 किग्रा नमक के साथ मिलाया जाना चाहिए , जिससे परिणामी मिश्रण को 29.90 रुपये में बेचने पर 15% का लाभ अर्जित हो ?
(A) 138
(B) 198
(C) 200
(D) 130
(9) The value of
Q-(2) Sol-(D)
Q-(8) Sol-(B)
Q-(10) Sol-(C)

0 comments:
Post a Comment
MAHENDRA GURU