1-Five years ago, the average age of A, B and C was 29 years. If the average age of B and C, 5 years ago, was 23 years, then what is the present age (in years) of A?
(A) 49
(B) 40
(C) 46
(D) 50
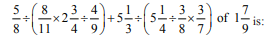
Q.2. The value of
(A)23/36
(B)16/9
(C)3/32
(D) 5/36
3-What is the mean of the median and range of the following data?
3,8,7,12,4,3,16,20,23,10,9,15,2,7
(A) 14.5
(B) 14.75
(C) 13.75
(D) 19.5
Q.4. What is the compound interest on a sum of Rs. 12,000 at 18% per annum for
1(1/3) years, if the interest is compounded 8 -monthly?
(A) Rs. 4,708.80
(B) Rs. 2,980.20
(C) Rs. 3,840.40
(D) Rs. 3,052.8
Q.5. The diameter of the base of a solid right circular the cone is 22 cm, and its height is 60 cm. The cost of polishing its curved surface at Rs. 1.40 per cm^2 is: Take π=22/7)
एक ठोस लम्बवृत्तीय शंकु के आधार का व्यास 22 सेमी है, और इसकी ऊँचाई 60 सेमी है। इसकी घुमावदार सतह को चमकाने की लागत रु. 1.40 प्रति सेमी^2 है: π=22/7 लें)
(A) Rs. 3,006
(B) Rs. 2,904
(C) Rs. 2,807.20
(D) Rs. 2,952.40
Q. 6. The value of a machine depreciates at the rate of 10% per annum. It was purchased 3 years ago. If its present value is Rs. 53071.20, the purchase price of the machine was:
एक मशीन की अवमूल्यन दर 10% प्रतिवर्ष है। यह 3 वर्ष पहले खरीदी गई थी। यदि इसका वर्तमान मूल्य 53071.20 रू. है तो मशीन को खरीदते समय मूल्य था-
(A) Rs. 84560
(B) Rs. 78400
(C) Rs. 72800
(D) Rs. 69680
Q. 7. The average of 8 readings is 24.3, out of which the average of first two is 18.5 and that of next three is 21.2.If the sixth reading is 3 less than seventh and 8 less than eight, what is the sixth reading?
8 रीडिंग का औसत 24.3 है, जिसमें कि प्रथम दो का औसत 18.5 और अगली तीन का 21ण्2 हैं। यदि छठी रीडिंग,सातवी रीडिंग से 3 कम है,और आठवीं से 8 कम है, तो छठी रीडिंग क्या है?
(A) 24.8
(B) 26.5
(C) 27.6
(D) 29.4
Q. 8. On selling an article for Rs. 240, a trader loss of 10%.In order to gain 10%, he must sell that article for -
एक वस्तु को 240 रू. में बेचने पर एक व्यापारी को 10% की हानि होती है, उसे 10% लाभ प्राप्त करने के लिए उस वस्तु को कितने रूपये में बेचना चाहिए?
(A) Rs. 293.32
(B) Rs. 296.84
(C) Rs. 267.50
(D) Rs. 290.80
Q. 9. While selling an article, a shopkeeper gives a discount of 5%. If he gives a discount of 7%, he earns Rs.15 less as profit. The marked price of the article is -
एक दुकानदार एक वस्तु को बेचने पर 5% की छूट देता है। यदि वह 7% की छूट देता है तो वह लाभ में 15 रू. कम प्राप्त करता है। वस्तु का अंकित मूल्य है -
(A) Rs. 750
(B) Rs. 850
(C) Rs. 1250
(D) Rs. 840
Q. 10. If 20 men working 7 hours a day can do a piece of work in 10 days, in how many days will 15 men working for 8 hours a day do the same piece of work?
यदि 20 आदमी एक दिन में 7 घण्टे काम करके एक काम को 10 दिन मे समाप्त करते है, तो 15 आदमी एक दिन में 8 घण्टे काम करके उसी काम को कितने दिन मे समाप्त करेंगे?
(A) 10 (1/3) days
(B) 11 (2/3) days
(C) 13 (1/3) days
(D) 12 (2/3) days
ANSWER KEY:
1. Sol. (B)
2. Sol. (C)
3. Sol. (B)
4. Sol. (D)
5. Sol. (D)
6. Sol. (C)
7. Sol. (C)
8. Sol. (A)
9. Sol. (A)
10. Sol. (B)

0 comments:
Post a Comment
MAHENDRA GURU