Dear Readers,
As SSC CPO notification is out and candidates have started their preparation for this exam. Mahendras also has started special quizzes for this examination. This series of the quizzes are based on the latest pattern of the CPO examination. Regular practice of the questions included in the quizzes will boost up your preparations and it will be very helpful in scoring good marks in the examination.
(1) If Pradeep’s wages per hour increased by 20% and his working hour per day also increased by 15%, then find the percentage increase in his daily earning?
यदि प्रदीप की प्रति घंटे की मजदूरी 20% बढ़ जाती है और उसकी प्रतिदिन कार्य-समय में 15% की वृद्धि होती है , तो उसकी प्रतिदिन की आय में कितने प्रतिशत की वृद्धि हुई ?
(A) 38
(B) 40
(C) 36
(D) 35
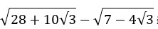
(2) The value of
(A) 7.2
(B) 5.8
(C) 6.5
(D) 6.1
(3) Arvind purchases 80 kg of rice and he sold it at such price that he paid for 30kg of rice, then find his profit percentage?
अरविन्द 80 किग्रा चावल खरीदता है और उसी मूल्य पर बेचता है जिस पर उसने 30 किग्रा चावल ख़रीदा हो , तो उसका लाभ प्रतिशत ज्ञात कीजिये ?
(4) Find the value of 24×2 ÷ 12 + 12 ÷ 6 of 2 ÷ (15 ÷ 8×4) of (28 ÷ 7 of 5) ?
24×2 ÷ 12 + 12 ÷ 6 of 2 ÷ (15 ÷ 8×4) of (28 ÷ 7 of 5) का मान ज्ञात कीजिये ?
(5) The base of a right prism is triangle whose sides are 5 cm, 8 cm and 12 cm. Find the lateral surface area of the right prism, if it’s height is 18 cm?
एक लम्ब प्रिज्म का आधार त्रिभुज है ।जिसकी भुजाएं 5 सेमी, 8 सेमी और 12 सेमी है। इसका पार्श्व पृष्ठीय क्षेत्रफल ज्ञात कीजिये । यदि प्रिज्म की ऊँचाई 18 सेमी हो?
(A) 432
(B) 486
(C) 468
(D) 450
(6) The curved surface area of a right circular cylinder is 60π cm^2 and radius of its base is 3 cm, then find the product of area of base and height of the cylinder?
एक लम्ब वृत्तीय बेलन का वक्र पृष्ठ क्षेत्रफल 60π cm^2है और आधार की त्रिज्या 3 सेमी है, तो आधार का क्षेत्रफल और बेलन की ऊँचाई का गुणनफल ज्ञात कीजिये?
(A) 60π
(B) 72π
(C) 90π
(D) 81π
(7) Poorav can row 9/10 km in upstream in 12 minutes and he returns to the starting point in downstream in 9 minutes, then find the speed of poorav(in km/hr) in still water?
पूरव धारा के विपरीत 9/10 किमी 12 मिनट में जाता है और शुरूआती बिंदु तक धारा के साथ 9 मिनट में वापस आ जाता है , तो पूर्व की स्थिर जल में चाल (किमी/घंटा) में ज्ञात कीजिये?
(8) Arjun returned two equal half yearly installments each of Rs. 6,760 , to repayment of a certain loan. If he pay at the rate of interest 8% p. a., compounded yearly, then find the interest paid by him on the loan amount?
अर्जुन एक निश्चित ऋण का भुगतान 6,760 रुपये की दो बराबर किस्तों में करता है । यदि वह 8% वार्षिक ब्याज की दर भुगतान करता है, तो बताइए कि अर्जुन ने कितने रुपये का ब्याज चुकाया ?
(A) Rs 810
(B) Rs 750
(C) Rs 790
(D) Rs 770
(9) If the curved surface area of a right circular cone is 816.4 cm^2 and the ratio between its radius and height is 5:12, then find the volume(incm^2) of the cone? take
यदि लम्ब वृत्ताकार शंकु का वक्र पृष्ठ क्षेत्रफल 816.4 वर्ग सेमी^2 है और त्रिज्या और ऊँचाई का अनुपात 5:12 है , तो शंकु का आयतन (घन सेमी^2 में ) ज्ञात कीजिये
(A) 31440
(B) 1256
(C) 2512
(D) 628
(10) In ∆ABC , BE perpendicular to AC and CD perpendicular to AB. If BE and CD intersect each other at O and the angle bisectors of
∆ABC में , BE
(A) 28°
(B) 32°
(C) 64°
(D) 56°
Answer Key-
Q-(3) Sol-(A)
Q-(4) Sol-(D)

0 comments:
Post a Comment
MAHENDRA GURU