Dear Readers,
As SSC CPO notification is out and candidates have started their preparation for this exam. Mahendras also has started special quizzes for this examination. This series of the quizzes are based on the latest pattern of the CPO examination. Regular practice of the questions included in the quizzes will boost up your preparations and it will be very helpful in scoring good marks in the examination.
यदि cosθ + secθ = 2 (00 <θ <900) हो तो cos 10θ + sec 11θ = ?
(A) 0
(B) 1
(C) 2
(D) -1
(2) Consider those number between 300 and 400 such that when each number is divided by 6, 9 and 12, it leaves 4 as remainder in each cases. What is the sum of the numbers?
300 और 400 के बीच उन संख्याओं पर विचार कीजिए जिन्हें कि 6, 9 और 12 से विभाजित करने पर प्रत्येक में 4 शेषफल बचे। संख्याओें का योग क्या है?
(A) 692
(B) 764
(C) 1080
(D) 1092
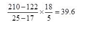
(3) A train with a uniform speed passes a platform, 122 m. long, in 17 sec and a bridge 210 meters long in 25 seconds.Find the speed of the train.
एक ट्रेन 122 मी.लम्बा प्लेटफार्म 17 सेकंड में और 210 मी. लम्बा पुल 25 सेकंड में पार करती हैं। ट्रेन की चाल ज्ञात कीजिये।
(A) 37.6 km/hr. / किमी/घंटा
(B) 41.5 km/hr. / किमी/घंटा
(C) 46.5 km/hr. / किमी/घंटा
(D) 39.6 km/hr. / किमी/घंटा
(4) D and E are the mid points of two cords AB and AC of a circle with a centre O. The line OD and OE are produced to meet the circle respectively at the point F and G. H is a point on the major arc between F and G of circle. If ∠BAC = 40o , then ∠ FHG=?
O केंद्र वाले वृत्त की दो जीवाएं AB और AC के मध्य बिंदु D और E है |रेखाएं OD और OE आगे बढ़ते हुए वृत्त के बिंदु F और G पर मिलती है | वृत्त के वृहद् चाप F और G पर एक बिंदु H है | यदि ∠BAC = 40o , तब ∠ FHG=?
(A) 75o
(B) 70o
(C) 65o
(D) 80o
(5) A freight ship bares 4 tonnes of weight in 1 day such type of 4 freight ship bares 128 tonnes in 8 days , then how many days 540 tonnes weight bares by 6 freight hip each bares 4 tons weight perday?
भारवाहक जहाज 1 दिन मे 4 टन माल ढोता है इसीप्रकार के 4 जहाज 8 दिन मे 128 टन भार ढोते है तो ज्ञात कीजिए कितने दिनों मे 540 टन भार, 6 भारवाहक जहाज से ढोया जायेगा जोकि प्रत्येक प्रति दिन 3 टन भार ढोते है ?
(A) 22.5
(B) 25
(C) 30
(D) 32
(6) A rectangular box P is inscribed in a sphere of radius r cm. The surface area of P is 384 cm2. and the sum of the length of its 12 edges is 112 cm. Then r (in cm.) is equal to-
एक आयताकार बाक्स P, एक r सेमी. त्रिज्या वाले गोले में खींचा जाता है। P का पृष्ठीय क्षेत्रफल 384 सेमी2. है और इसके 12 कोरो की लम्बाई का योग 112 सेमी. है, तो r (सेमी. में) बराबर है-
(A) 8
(B) 10
(C) 12
(D) 14
(7) Find the greatest number which on dividing 152, 277 and 427 leaves equal remainder
152 277 और 427 को विभाजित करने वाली सबसे बड़ी संख्या ज्ञात कीजिए, जिससे प्रत्येक बार बराबर शेषफल बचे
(A) 25
(B) 28
(C) 29
(D) 24
(8) The lines 2x+3y = 7 and 3x + 5y = 11intersect of the point
रेखाएं 2x+3y = 7 और 3x + 5y = 11 एक -दूसरे को काटती है-
(A) (2,1)
(B) (1,2)
(C) (3,0)
(D) (0,2)
(9) A mixture contains 80% acid and rest water. Part of the mixture that should be removed and replaced by the same amount of water to make the ratio of acid and water 4 : 3 is :
एक मिश्रण में 80 % अम्ल है और बाकि पानी है . तो मिश्रण से कितना भाग निकाला जाये और समान मात्रा मे पानी मिलाया जाये की मिश्रण में अनुपात 4 : 3 हो जाये ?
(A) 1/3
(B) 3/7
(C) 2/3
(D) 2/7
(10) If (x+y-z)2 +(y+z-x)2+(z+x-y)2=0, then the value of x+y-z is-
यदि (x+y-z)2 +(y+z-x)2+(z+x-y)2=0, तो x+y-z का मान ज्ञात कीजिये -
(A) 0
(B) 1
(C) 2
(D) √2
Answer Key-
Q-(1) Sol-(C)
cosθ + secθ = 2
cosθ + 1/cosθ = 2
cos2 θ+ 1 - 2cosθ = 0
(cosθ - 1)2 = 0
cosθ = 1
θ = 0
cos10θ + sec11θ
= 1 + 1 = 2
Q-(2) Sol-(A)
LCM of 6, 9, 12 = 36
Number is the form of 36 p + 4.
Required number for P = 9, 10
Required sum = (36×9+4)+ (36×10+4)
= 328 + 364 = 692
Q-(3) Sol-(D)
Q-(9) Sol-(D)
4 : 1
4 : 3
so difference is 2 / तो अनुपात का अंतर है 2
so part of mixture replaced is 2/7
Q-(10) Sol-(C)
(x+y-z)2 +(y+z-x)2+(z+x-y)2=0,
.' . x+y-z = 0

0 comments:
Post a Comment
MAHENDRA GURU