Dear Readers,
As SSC CGL & MTS notification is out and candidates have started their preparation for this exam. Mahendras also has started special quizzes for this examination. This series of quizzes are based on the latest pattern of the SSC CGL & MTS examination. Regular practice of the questions included in the quizzes will boost up your preparations and it will be very helpful in scoring good marks in the examination.
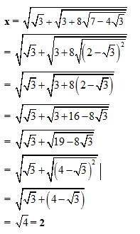
Q. 1. If x =
यदि x =
(A) 1
(B) 2
(C) 0
(D) – 2
Q. 2. A car covers a certain distance in 25 hrs. If it reduces the speed by 1/5, the car covers 200 km less in that time. The speed of car is-
एक कार 25 घंटे में एक निश्चित दूरी तय करती है। यदि यह गति को 1/5 से कम कर देता है, तो कार उस समय में 200 किमी कम दूरी तय कर पाती है। कार की गति है-
(A) 60 kmph
(B) 50 kmph
(C) 40 kmph
(D) 30 kmph
Q. 3. If
Q. 6. A profit of 12% is made when an article is sold at Rs. M and there is 4% loss when the article is sold at Rs. N. Then N: M is
एक वस्तु को जब रु.M में बेचा जाता है तो 12% का लाभ होता है और जब वस्तु को रु.N में बेचा जाता है तो 4% की हानि होती है | तो N: M है
(A) 1: 1
(B) 4: 5
(C) 6: 7
(D) 3: 1
Q. 7. P and Q together can complete a work in 12 days. P alone can complete it in 20 days. If Q does the work only half a day daily, then in how many days P and Q together will complete the work?
औए Q एक साथ मिलकर एक काम को 12 दिनों में कर सकते हैं | P अकेला इसे 20 दिनों में कर सकता है | यदि Q आधे दिन ही काम करे, तो P और Q मिलकर एकसाथ काम को कितने दिनों में कर लेंगें
(A) 10
(B) 20
(C) 18
(D) 15
Q. 8. If the diagonals of a rhombus are 8 cm and 6 cm, then what will be the height of a parallelogram whose area is same as rhombus and base is twice of base of rhombus?
यदि एक समचतुर्भुज के विकर्ण 8 सेमी. तथा 6 सेमी. हो, तो उस समान्तर चतुर्भुज की ऊँचाई क्या होगी जिसका क्षेत्रफल समचतुर्भुज के क्षेत्रफल से समान है और जिसका आधार समचतुर्भुज के आधार का दोगुना है?
(A) 2.2 सेमी.
(B) 2.4 सेमी.
(C) 2.7 सेमी.
(D) 2.0 सेमी.
Q. 9. Two equal circles of radius 3 cm each and distance between their centres is 10 cm. The length of one of their transverse common tangent is-
प्रत्येक 3 सेमी त्रिज्या के दो समान वृत्त और उनके केंद्रों के बीच की दूरी 10 सेमी है। उनकी अनुप्रस्थ उभयनिष्ठ स्पर्शरेखा में से एक की लंबाई है-
(A) 10 cm.
(B) 9 cm.
(C) 8 cm.
(D) 7 cm.
Q. 10. If 7 times the seventh term of an Arithmetic Progression (AP) is equal to 11 times its eleventh term, then the 18th term of the AP will be
यदि एक समान्तर श्रेणी (AP) के सातवें पद का 7 गुना 11 वें पद के 11 गुना के बराबर है, तो AP का 18 वां पद होगा
(A) 1
(B) 0
(C) 2
(D) – 1
Answer Key-
1. Sol. (B)
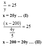
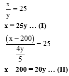
2. Sol. (C)
Let the distance be x km and speed be y kmph.
According to the question,
From (I) and (II), we get
25y – 200 = 20y
5y = 200
y = 40
3. Sol. (B)
4. Sol. (A)
Since, the sum of opposite angle in cyclic quadrilateral is 180 degrees, hence-
5. Sol. (A)
Q can do the work in = [60/2] = 30 days
If Q does the work half a day then
Total work in 1 day = 3 + 1 = 4
Time to complete this work = [60/4] = 15 days
8. Sol. (B)
We know that
Area of the parallelogram = Base × Height
24 = 10 × h
h = 2.4 cm.
9. Sol. (C)
Let a be the first tem and d be the common difference of given AP
7 T7 = 11 T11
7 (a + 6d) = 11 (a + 10d)
7a + 42d = 11a + 110d
4a + 68d = 0
T18 = a + 17d = 4a + 68d = 0

0 comments:
Post a Comment
MAHENDRA GURU