Mahendras has started special quizzes for IBPS & SBI Exam so that you can practice more and more to crack the examination. This IBPS & SBI Exam special quiz series will mold your preparations in the right direction and the regular practice of these quizzes will be really very helpful in scoring good marks in the Examination. Here we are providing you the important question of reasoning ability for the for the the IBPS & SBI Exam.
Q-(1-2) In each of the following questions (I) and (II) equations are given. You have to solve them and Give answer-
दिये गये प्रश्न में दो समीकरण I और II दिये गये है, आप इनको हल कीजिए और प्रश्न का उत्तर दीजिये-
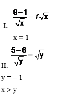
(1) I. x – 2y = 9
II. x + 2y = 7
(1) x > y
(2) x > y
(3) x < y
(4) x < y
(5) x=y or relationship cannot be established
(2)
(2) x > y
(3) x < y
(4) x < y
(5) x=y or relationship cannot be established
Q-(3-6) What value will come in place of question mark (?) in the following number series?
निम्नलिखित संख्या श्रृंखला में प्रश्नवाचक चिन्ह (?) के स्थान पर क्या मान आयेगा?
(3) 98 100 204 412 1656 ?
(1) 7250
(2) 6840
(3) 8095
(4) 8290
(5) 4465
(4) 22 4 13 42 151 ?
(1) 520
(2) 480
(3) 640
(4) 720
(5) 505
(5) 2 10 26 58 122 ?
(1) 180
(2) 175
(3) 205
(4) 220
(5) 250
(6) 54 100 182 322 614 ?
(1) 1044
(2) 1224
(3) 1156
(4) 1423
(5) 865
(7) The radius of a circle is one-fourth of the length of a rectangle. The circumference of the circle is equal the area of a square of 22 cm. side. If perimeter of the rectangle is 668 cm., what is the breadth of the rectangle?
एक वृत्त की त्रिज्या एक आयत की लम्बाई की एक-चौथाई है। वृत्त की परिधि 22 सेमी. भुजा वाले वर्ग के क्षेत्रफल के समान है। यदि आयत की परिधि 668 सेमी. है तो आयत की चौड़ाई क्या है?
(1) 22
(2) 20
(3) 26
(4) 24
(5) 18
(8) The ratio of adjacent angles of a parallelogram is 2 : 3 respectively. One-half of the smallest angle of parallelogram is equal to the smallest angle a quadrilateral. The largest angle of quadrilateral is four times of its smallest angle. What is the sum of largest angle of quadrilateral and smaller angle of parallelogram?
एक समान्तर चतुर्भुज के संलग्न कोणों के बीच अनुपात क्रमशः 2 : 3 है। समान्तर चतुर्भुज के छोटे कोण का आधा एक चतुर्भुज के सबसे छोटे कोण के समान है। चतुर्भुज का सबसे बड़ा कोण उसके सबसे छोटे कोण का चौगुना है। चतुर्भुज के सबसे बड़े कोण और समान्तर चतुर्भुज के छोटे कोण का योग क्या है?
(1) 1800
(2) 1440
(3) 1720
(4) 2160
(5) 2400
(9) There are 2000 students in a school. Out of these 36% are girls. The monthly fee of each boy is Rs. 480 and monthly fee of each girls is 25% less than that of a boy. What is the total monthly fee of all students?
एक स्कूल में 2000 विद्यार्थी है। इनमें से 36% लड़कियां है। प्रत्येक लड़के की मासिक फीस रू. 480 है और प्रत्येक लड़की की मासिक फीस प्रत्येक लड़के से 25% कम है। सभी विद्यार्थियों की कुल मासिक फीस क्या है?
(1) 873600
(2) 742500
(3) 826400
(4) 924500
(5) None of these
(10) The sum of 8 consecutive numbers of set A is 376. What is the sum of another set of consecutive 5 numbers whose lowest number is 15 more than the average of set A?
सेट -A की सतत 8 संख्याओं का योग 376 है। सतत् 5 संख्या वाले एक दूसरे सेट का योग क्या है जिसकी न्यूनतम संख्या सेट - A के औसत से 15 अधिक है?
(1) 344
(2) 340
(3) 350
(4) 320
(5) 300
Answer Key-
Q-(1) Sol-(1)
I. x = 8
II. y = –1/2
x > y
Q-(2) Sol-(1)
Q-(3) Sol-(4)
98+2×1 100+2×2 204+2×3 412+2×4
1656+2×5 8290
Q-(4) Sol-(3)
22×0+4 4×1+9 13×2+16
42×3+25 151×4 640
Q-(5) Sol-(4)
Q-(6) Sol-(3)
54–4×2 100–9×2 182–16×2 332–25×2 614–36×2 1156
Q-(7) Sol-(3)
r = 1/4........... (I)
Area of circle = 484 cm2
2 ×22/7×r = 484
r = 77 cm
77 = 1/4
l = 308 cm
2 (l + b) = 668
2 (308 + b) = 668
b = 26 cm
Q-(8) Sol-(4)
Smaller angle of parallelogram larger angle = 720
Larger angle = 1080
Smallest angle of quadrilateral = 360
largest angle = 1440
sum = 144 + 72
= 2160
Q-(9) Sol-(1)
Number of Girls = 720
Number of Boys = 1280
Total fee = 1280 × 480 + 720 × 360
= Rs. 873600
Q-(10) Sol-(4)
Average of set -A = 376/8
= 47
Required average
= 62+63+64+65+66
= 320

0 comments:
Post a Comment
MAHENDRA GURU