Dear Readers,
As SSC CGL & MTS notification is out and candidates have started their preparation for this exam. Mahendras also has started special quizzes for this examination. This series of quizzes are based on the latest pattern of the SSC CGL & MTS examination. Regular practice of the questions included in the quizzes will boost up your preparations and it will be very helpful in scoring good marks in the examination.
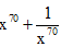
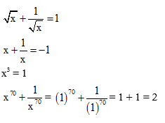
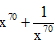
(A) 1
(B) 0
(C) – 1
(D) 2
Q. 2. The largest natural number which exactly divides the product of any four consecutive natural numbers, is
सबसे बड़ी प्राकृतिक संख्या जो कि लगातार चार क्रमागत प्राकृतिक संख्याओं के गुणनफल को विभाजित करती है, है
(A) 6
(B) 12
(C) 24
(D) 120
Q. 3. If C.P of 20 tables is equal to the S.P of 25 tables. Find the loss percentage.
यदि 20 मेजों का क्रय मूल्य 25 मेजों के विक्रय मूल्य के बराबर है तो हानि प्रतिशत ज्ञात कीजिए।
(A) 12%
(B) 16%
(C) 20%
(D) 24%
Q. 4. A person sells two articles, each for the same price Rs.720. He incurs 20% loss on the first and 10% loss on the second. Find his overall percent loss.
एक व्यक्ति दो वस्तुएं प्रत्येक को 720 रू. में बेचता है। वह पहले पर 20% हानि प्राप्त करता है और दूसरे पर 10% हानि प्राप्त करता है। उसकी सम्पूर्ण प्रतिशत हानि ज्ञात कीजिए?
(A) 15.29%
(B) 23.16%
(C) 24.4%
(D) 21%
Q. 5. If a man purchase 11 articles for Rs.10 and sold all the articles at the rate of 10 for Rs.11, the profit percent will be.
यदि एक आदमी 10 रू. में 11 वस्तुए खरीदता है और उन सभी को 11रू. में, 10 की दर से बेचता है तो प्रतिशत लाभ होगा -
(A) 10%
(B) 11%
(C) 21%
(D) 100%
Q. 6. At what rate percent per annum will a sum of Rs.5000 amount to Rs.6000 in 4 years?
किस वार्षिक ब्याज की दर 5000 रु. की एक धनराशि 4 वर्षों में 6000 रु. हो जायेंगें ?
(A) 3.5%
(B) 4%
(C) 5%
(D) 6%
Q. 7. If Rs.5000 amounts to Rs.5750 in 3 years, what will Rs.6000 amount to in 4 years at the same rate of simple interest?
यदि 5000 रू. तीन वर्षो में 5750 रू. हो जाते हैं, तो 6000 रू. 4 वर्षो में इसी समान साधारण ब्याज की दर कितना हो जायेगा?
(A) Rs. / रु. 7200
(B) Rs. / रु. 7400
(C) Rs. / रु. 7680
(D) Rs. / रु. 7800
Q. 8. The difference between CI and SI on a sum of money for 3 years at 5% per annum is Rs.61.Find the sum.
एक धनराशि पर 3 वर्षों का 5% की वार्षिक दर से चक्रवृद्धि ब्याज और साधारण ब्याज का अन्तर 61 रू. है। धनराशि ज्ञात कीजिए।
(A) Rs. / रु. 4000
(B) Rs. / रु. 4680
(C) Rs. / रु. 6000
(D) Rs. / रु. 8000
Q. 9. A is four times as efficient as B, C takes twice as many days as B to do a piece of work. If A can finish a job in 12 days. In how many days can A, B and C working together do the same job?
A, B का चार गुना कार्य कुशल है। C, B के काम समाप्त करने के दिनों का दोगुना समय लेता है। यदि A काम को 12 दिनों में समाप्त कर देता है, तो A, B, C तीनों मिलकर इसी काम को कितने दिनों में समाप्त करेंगें?
Q. 10. Two trains of lengths 130 m and 110 m run on parallel tracks. When running in the same directions the faster train crosses the slower are in 20 seconds. When running in opposite directions at speeds same as their earlier speeds, they pass each other completely in 12 seconds, find the speed of slower train.
130 मीटर और 110 मीटर की लंबाई की दो ट्रेनें समांतर पटरियों पर चलती हैं । जब एक ही दिशा में चलती हैं तो तेज ट्रेन धीमी ट्रेन को 20 सेकंड में पार करती है । समान गति से विपरीत दिशाओं में चलते समय, वे एक-दूसरे को 12 सेकंड में पूरी तरह से पार करती हैं, धीमी ट्रेन की गति ज्ञात कीजिये।
(A) 4 m/s. (मी. /से.)
(B) 8 m/s. (मी. /से.)
(C) 12 m/s. (मी. /से.)
(D) 14 m/s. (मी. /से.)
Answer Key:-
1. Sol. (D)
2. Sol. (C)
Product of any four consecutive natural numbers is always divisible by 24.
चार क्रमागत प्राकृतिक संख्याओं का गुणनफल हमेशा 24 से विभाजित होता है ।
3. Sol. (C)
4. Sol. (A)
S.P. of each article/प्रत्येक वस्तु का विक्रय मूल्य = Rs. / रु. 720
Total S.P. of both articles/ दोनों वस्तुओं का कुल विक्रय मूल्य = 1440
Total C.P. of both articles/दोनों वस्तुओं का क्रय मूल्य = 900 + 800 = 1700
5. Sol. (C)
6. Sol. (C)
Interest/ब्याज = 6000 – 5000 = 1000
7. Sol. (A)
Interest/ब्याज = Rs. / रु. 5750 – Rs. / रु. 5000 = Rs. / रु. 750
8. Sol. (D)
9. Sol. (D)
10. Sol. (A)

0 comments:
Post a Comment
MAHENDRA GURU