Dear Readers,
As SSC CGL & MTS notification is out and candidates have started their preparation for this exam. Mahendras also has started special quizzes for this examination. This series of quizzes are based on the latest pattern of the SSC CGL & MTS examination. Regular practice of the questions included in the quizzes will boost up your preparations and it will be very helpful in scoring good marks in the examination.
Q. 1. There are some males and females in an office. The square of the number of the females is less than the square of the number of the males by 28. If there were two more females, the number of males would have been the same as that of the females. The total number of the males and the females in the office are?
एक ऑफिस में कुछ पुरुष और कुछ महिलायें हैं | महिलाओं की संख्या का वर्ग पुरुषों की संख्या के वर्ग से 28 कम है | यदि वहां दो अधिक महिलायें होती. तो पुरुषों की संख्या महिलाओं की संख्या के समान हो जायेगी | ऑफिस में पुरुषों और महिलाओं की कुल संख्या है |
(A) 56
(B) 14
(C) 10
(D) 7
Q. 2. The largest number of five digits which when divided by 16, 24, 30 or 36 leaves the same remainder 10 in each case?
पांच अंकों की बड़ी से बड़ी संख्या जिसे 16, 24, 30 या 36 से विभाजित करने पर प्रत्येक दशा में 10 शेष बचे |
(A) 99279
(B) 99370
(C) 99269
(D) 99350
Q. 3. The H.C.F. of two numbers, each having three digits, is 17 and their L.C.M. is 714. The sum of the numbers will be -
दो संख्याओं, प्रत्येक तीन अंकीय संख्याओं का म.स.प. 17 है और ल.स.प. 714 है | संख्याओं का योग होगा -
(A) 289
(B) 391
(C) 221
(D) 731
Q. 6. Hujaifa can complete a piece of work in 10 days, Piyush in 15 days and Mazahir in 20 days. Hujaifa and Mazahir worked together for 2 days and then Hujaifa was replaced by Piyush. In how many days, altogether, was the work completed?
हुजैफा एक कार्य को 10 दिनों में कर सकता है, पियूष इसे 15 दिनों में कर सकता है और मज़ाहिर इसे 20 दिनों में कर सकता है | हुजैफा और मज़ाहिर दो दिनों तक एकसाथ कार्य करते हैं और फिर हुजैफा के स्थान पर पियूष आ जाता है | कितने दिनों में, कार्य समाप्त हुआ ?
(A) 12
(B) 10
(C) 6
(D) 8
Q. 7. An increase of Rs.30 in the selling price of an article turns a loss of
into a gain of
. The cost price (in Rs.) of the article is ?
वस्तु के विक्रय मूल्य में 30 रु. की वृद्धि हो जाने से
की हानि
के लाभ में बदल जाती है | वस्तु का क्रय मूल्य (रु. में) है ?
(A) 250
(B) 200
(C) 150
(D) 100
Q. 8. The compound interest on Rs.8000 at 15% per annum for 2 years 4 months, compounded annually is -
8000 रु. पर 15% वार्षिक ब्याज की दर से 2 वर्ष 4 माह के लिए चक्रवृद्धि रूप से संचयित चक्रवृद्धि ब्याज है -
(A) Rs.2980
(B) Rs.3091
(C) Rs.3100
(D) Rs.3109
Q. 9. A motorboat in still water at a speed of 36 km/hr. It goes 56 km upstream in 1 hour 45 minutes. The time taken by it to cover the same distance down the stream will be -
एक मोटरबोट की स्थिर जल में चाल 36 किमी. /घंटा है | यह 56 किमी. ऊर्ध्वप्रवाह में 1 घंटे 45 मिनट में यात्रा करती है | इसके द्वारा उसी दूरी को अनुप्रवाह में तय करने में लिया गया समय होगा -
(A) 2 hours 25 minutes
(B) 3 hours
(C) 1 hour 24 minutes
(D) 2 hours 21 minutes
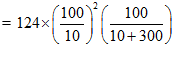
Q.10. The difference between compound interest (compounded annually) and simple interest on a certain sum of money at 10% per annum for 3 years is Rs.124. The sum is?
एक निश्चित धनराशि पर 10% वार्षिक ब्याज की दर से 3 वर्षों में चक्रवृद्धि ब्याज (वार्षिक रूप से संचयित) और साधारण ब्याज में अन्तर 124 रु. है | धनराशि है?
(A) Rs.4200
(B) Rs.4000
(C) Rs.3600
(D) Rs.3200
Answer key:-
1. Sol. (B)
Let number of males and females be M and F respectively.
माना पुरुषों और महिलाओं की संख्या क्रमशः M और F हैं |
According to the question/प्रश्नानुसार,
F2 = M2 – 28 … (i)
F + 2 = M … (ii)
On solving (i) and (ii), we get/(i) और (ii) को हल करने पर, हम प्राप्त करते हैं
F = 6, M = 8
2. Sol. (B)
(L.C.M. of 16, 24, 30 or 36) = 720
(16, 24, 30 या 36 का ल.स.प.) = 720
Largest number of five digits = 99999
पांच अंकों की सबसे बड़ी संख्या = 99999
Largest number of five digits which is a multiple of 720 = 99360
720 का सबसे गुणज जोकि पांच अंकों की सबसे बड़ी संख्या है = 99360
Required number/अभीष्ट संख्या = 99360 + 10 = 99370
3. Sol. (C)
Let the numbers be 17x and 17y respectively.
माना संख्याएं 17x और 17 y हैं |
According to the question/प्रश्नानुसार,
17xy = 714
xy = 42
For the three digit numbers each, x = 6 or x = 7 results y = 7 or y = 6
प्रत्येक तीन अंकीय संख्या के लिए, x = 6 या x = 7 देता है y = 7 या y = 6
Sum of the numbers/संख्याओं का योग = 102 + 119 = 221
4. Sol. (A)
5. Sol. (C)
6. Sol. (D)
H …. 10 6
P …. 15 [L.C.M. of 10, 15 and 20 = 60] 4
M …. 20 3
According to the question/प्रश्नानुसार,
9 × 2 + 7 × x = 60
7x = 60 – 18
x = 6
Total number of days/दिनों की संख्या = 6 + 2 = 8 days/दिन
7. Sol. (B)
8. Sol. (D)
Required Compound interest/अभीष्ट चक्रवृद्धि ब्याज = 1200 + 1200 + 180 + 529
= Rs.3109
9. Sol. (C)
Let the speed of the current be x km/hr.
माना धारा की चाल x किमी. /घंटा है|
According to the question/प्रश्नानुसार,
10. Sol. (B)
= Rs./रु.4000

0 comments:
Post a Comment
MAHENDRA GURU