Mahendras has started special quizzes for IBPS & SBI Exam so that you can practice more and more to crack the examination. This IBPS & SBI Exam special quiz series will mold your preparations in the right direction and the regular practice of these quizzes will be really very helpful in scoring good marks in the Examination. Here we are providing you the important question of reasoning ability for the for the the IBPS & SBI Exam.
A 10 दिनों में एक काम कर सकता है और B 15 दिनों में एक काम कर सकता है। वे 5 दिनों तक काम करते हैं। शेष कार्य 2 दिनों में C द्वारा कार्य समाप्त हो गया था। अगर उन्हें पूरे काम के लिए 1500 रुपये मिलते हैं, तो B और C की दैनिक मजदूरी क्या है?
(1) 150
(2) 225
(3) 250
(4) 300
(5) None of these
(2) A thief is noticed by a policeman from a distance of 200 m. The thief starts running and the policeman chases him. The thief and the policeman run at the rate of 10 km and 11 km per hour respectively. What is the distance between them after 6 minutes?
200 मीटर की दूरी से एक पुलिसकर्मी द्वारा एक चोर को देखा जाता है। चोर भागने लगता है और पुलिस वाला उसका पीछा करता है। चोर और पुलिसकर्मी क्रमशः 10 किमी और 11 किमी प्रति घंटे की दर से भागतें हैं। 6 मिनट के बाद उनके बीच की दूरी ज्ञात कीजिए?
(1) 80
(2) 95
(3) 75
(4) 100
(5) None of these
(3) A financer lend money at simple interest, but he includes the interest every six months for calculating the principle. If he is charging at interest of 10%, the effective rate of interest becomes?
एक फाइनेंसर साधारण ब्याज पर पैसा उधार देता है, लेकिन वह मूलधन की गणना के लिए हर छह महीने में ब्याज शामिल करता है। यदि वह 10% के ब्याज पर चार्ज कर रहा है, तो ब्याज की प्रभावी दर क्या बन जाती है?
(1) 10%
(2) 11.5%
(3) 10.25%
(4) 12%
(5) None of these
(4) A can contains a mixture of two liquids A and B in the ratio 7:5. When 9 liters of mixture are drained off and the can is filled with B, the ratio of A and B becomes 7:9. How many liters of liquid A was contained by the can initially?
A जार में दो तरल A और B का मिश्रण 7:5 के अनुपात में है। जब 9 लीटर मिश्रण निकल लिया जाता है और जार B से भरा जाता है, A और B का अनुपात 7: 9 हो जाता है। प्रारंभ में जार द्वारा कितने लीटर तरल A को समाहित किया गया था?
(1) 18
(2) 20
(3) 21
(4) 23
(5) 25
(5) Akash calculate his profit percentage on the selling price whereas Bhanu calculate his profit percentage on cost price. They find that the difference of their profit is Rs. 150. If the selling price of both of them are same and both of them get 20% profit, find their selling price ( in rupees).
आकाश ने विक्रय मूल्य पर अपने लाभ प्रतिशत की गणना की, जबकि भानु ने लागत मूल्य पर अपने लाभ प्रतिशत की गणना की। वे पाते हैं कि उनके लाभ का अंतर रु 150. यदि दोनों का विक्रय मूल्य समान है और दोनों को 20% लाभ मिलता है, तो उनके विक्रय मूल्य (रुपए में) को ज्ञात करें।
(1) 2500
(2) 3000
(3) 3200
(4) 4000
(5) None of these
Q-(6-10) Study the following graph and answer the following questions:
Total students in six different schools:-
निम्नलिखित ग्राफ का अध्ययन करें और निम्नलिखित प्रश्नों के उत्तर दें: -
छह अलग-अलग स्कूलों में कुल छात्र:
(6) What is the average of girls in all school?
सभी स्कूल में लड़कियों का औसत क्या है?
(1) 1370
(2) 1475
(3) 1672
(4) 1275
(5) None of these
(7) What is the difference between the boys in school F and the girls in school D?
स्कूल F में लड़कों और स्कूल D में लड़कियों के बीच क्या अंतर है?
(1) 300
(2) 400
(3) 200
(4) 100
(5) 460
(8) If in school E 30% students got first division, 28% students got second division, 26% students got third division and rest did not pass. Find the failed students.
अगर स्कूल में E 30% छात्रों को प्रथम श्रेणी मिली, 28% छात्रों को दूसरी श्रेणी मिली, तो 26% छात्रों को तृतीय श्रेणी मिली और बाकी छात्रों को पास नहीं किया गया। असफल छात्रों का पता लगाएं।
(1) 940
(2) 920
(3) 960
(4) 860
(5) 840
(9) What is the ratio between girls in school B and boys in school C?
स्कूल B में लड़कियों और स्कूल C में लड़कों के बीच का अनुपात क्या है?
(1) 8:5
(2) 4:5
(3) 7:2
(4) 4:3
(5) None of these
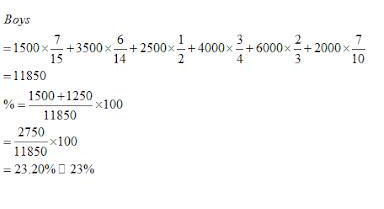
(10) The boys in school B and C is approximately what % of total no. of boys?
स्कूल B और C के लड़कों की संख्या कुल लड़कों की संख्या का लगभग कितना प्रतिशत है?
(1) 28
(2) 32
(3) 36
(4) 23
(5) None of these
Answer Key-
Q-(1) Sol-(2)

0 comments:
Post a Comment
MAHENDRA GURU