Mahendras has started special quizzes for IBPS & SBI Exam so that you can practice more and more to crack the examination. This IBPS & SBI Exam special quiz series will mold your preparations in the right direction and the regular practice of these quizzes will be really very helpful in scoring good marks in the Examination. Here we are providing you the important question of reasoning ability for the for the the IBPS & SBI Exam.
Q-(1-6) What value should come at place of question mark (?) in the following questions?
निम्नलिखित प्रश्नों में प्रश्नवाचक चिन्ह के स्थान पर क्या मान आना चाहिए?
(1) 79 × 85 - 12.5% of 1232 = ?2
(1) 91
(2) 89
(3) 79
(4) 81
(5) None of these
(2) 37.5% of 484 - 25% of 478 = ?3 – 61
(1) 4
(2) 4.5
(3) 5
(4) 5.5
(5) None of these
(3) 17.52 + 19.52 - 23.52 = ? + 2.52
(1) 128
(2) 136
(3) 139
(4) 118
(5) None of these
(1) 1/4
(2) 1/3
(3) 1/2
(4) 1
(5) None of these
(1) 127.75
(2) 135.25
(3) 130.5
(4) 120.5
(5) None of these
(6) 182.725 + 87.411 – 117.294 + 12.42 = ?
(1) 175.262
(2) 165.262
(3) 164.292
(4) 185.262
(5) None of these
(7) A and B can do a work in 36 days 40 days respectively. They start together but B left after some time. A finish the work 17 more days then find the time A and B worked together.
A तथा B किसी कार्य को क्रमशः 36 दिन और 40 दिन में पूरा कर सकते हैं दोनों साथ में कार्य करना प्रारम्भ करते हैं लेकिन कुछ दिन बाद B छोड़ देता है। A पूरा कार्य 17 दिन में कर लेता है। तो बताइए दोनों ने साथ में कितने कार्य किया ?
(1) 12
(2) 17
(3) 10
(4) 15
(5) None of these
(8) Two vessels A and B filled with alcohol and sprit in the ratio 7 : 5 and 8 : 3. Find the ratio in which mixture of A & B mixed to get alcohol.
दो बर्तन A और B एल्कोहल तथा स्प्रिट से भरे है जिनमें एल्कोहल तथा स्प्रिट का अनुपात क्रमशः 7 : 5 और 8 : 3 है। यदि दोनों को मिला दिया जाए तो A और B को किस अनुपात में मिलाया जाए कि मिश्रण में 70% एल्कोहल हो जाए।
(1) 77 : 55
(2) 18 : 77
(3) 23 : 24
(4) 55 : 12
(5) None of these
(9) The speed of current is 5 km/hr. A boat goes 10 km upstream and back to the starting point in 40 min. Find the speed of boat in still water.
धारा की चाल 5 किमी/घंटा है। यदि एक नाव 10 किमी/घंटा धारा के विपरीत जाकर वापस अपने स्थान पर आने में 50 मिनट का समय लेती है तो शान्त जल में नाव की चाल क्या होगी?
(1) 15
(2) 25
(3) 22
(4) 35
(5) None of these
(10) The C.I. after 3 year on certain sum Rs. 136.5 more than the C.I. of Ist year if rate of compound interest is 16.67% then find the sum of money ?
किसी धन पर तीन वर्षों के बाद चक्रवृद्धि ब्याज, एक वर्ष के चक्रवृद्धि ब्याज से 136.5 रूपये अधिक है। यदि चक्रवृद्धि ब्याज की दर 16.67% है तो मूलधन ज्ञात कीजिए।
(1) 356
(2) 324
(3) 376
(4) 249
(5) None of these
Answer Key-
Q-(1) Sol-(4)
6715 – 1232/8= 6715 – 154, ?2 = 6561
? = 81
Q-(2) Sol-(3)
181.5 - 117.5 + 61 = ?3, ?3= 125, ? = 5
Q-(3) Sol-(1)
306.25 + 380.25 - 552.25=? + 6.25
134.25 - 6.25 = ?, ? = 128
Q-(4) Sol-(4)
3-5 × 34 × 3-6 × 34 = 33×?
Compairing powers - 5 + 4 - 6 + 4 = 3 × ?
? =3/3 , ? = 1
Q-(5) Sol-(5)
Q-(6) Sol-(2)
182.725 + 87.411 – 117.294 + 12.42 = ?
? = 165.262
Q-(7) Sol-(3)
Q-(8) Sol-(2)
Taking value of alcohol
Q-(9) Sol-(2)
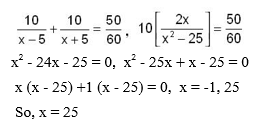
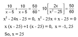
Q-(10) Sol-(2)

0 comments:
Post a Comment
MAHENDRA GURU