Mahendras has started special quizzes for IBPS & SBI Exam so that you can practice more and more to crack the examination. This IBPS & SBI Exam special quiz series will mold your preparations in the right direction and the regular practice of these quizzes will be really very helpful in scoring good marks in the Examination. Here we are providing you the important question of reasoning ability for the for the the IBPS & SBI Exam.
Q-(1-4) What value will come in place of question mark (?) in the following question?
निम्नलिखित प्रश्नों में प्रश्नवाचक चिन्ह (?) के स्थान पर क्या आयेगा ?
(1) 30% of 4450 + 60% of 350 = ?
(1) 1535
(2) 1540
(3) 1530
(4) 1525
(5) 1545
(2) 920 ÷ 16 + 225.35 =?
(1) 228.58
(2) 238.56
(3) 281.52
(4) 280.25
(5) 282.85
(3) 2584 × ? = 34 × 57 × 4
(1) 2
(2) 3
(3) 4
(4) 6
(5) 8
(4) 855.45 + 265.102 + 584.321 – 520.234 = ?
(1) 1174.609
(2) 1184.639
(3) 1284.139
(4) 1294.639
(5) None of these
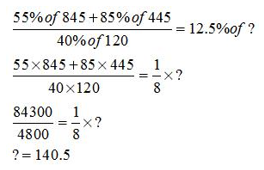
(1) 281
(2) 37.5
(3) 140.5
(4) 283.5
(5) None of these
(6) A man divided Rs. 82800 in two parts and lent the first parts at 12% for 7 years, and the second part at 8% for 4 years. If interest earned on two parts is in the ratio of 3 : 4 , find the first part ?
एक आदमी 82800 रूपये को दो भागो में उधार देता है एक भाग को वह 12 % की वार्षिक दर से 7 वर्ष के लिए और दूसरी राशि को 8% की वार्षिक दर से 4 वर्षो के लिए उधार देता है यदि दोनों राशि पर अर्जित ब्याज का अनुपात 3 : 4 है तो पहले भाग की राशि ज्ञात कीजिये ?
(1) 27600
(2) 18400
(3) 36800
(4) 64400
(5) None of these
(7) If a shopkeeper sells a table at a profit of 12% and a chair at a loss of 18% , he neither gain nor loss on the whole. If he sells the table at 10% profit and a chair at a loss of 8% , he would have gained Rs.210 on the whole. Find the cost price of the table?
एक दुकानदार एक मेज को 12% के लाभ पर बेचता है और एक कुर्सी को 18% की हानि पर बेचता है तो उसे न ही लाभ होता है न ही उसे हानि होती है । यदि वह मेज को 10% के लाभ पर बेचता है और कुर्सी को 8% की हानि पर बेचता है तो उसे 210 रूपये का लाभ होता है । तो मेज का क्रय मूल्य ज्ञात कीजिये?
(1) 3000
(2) 2500
(3) 4000
(4) 4500
(5) None of these
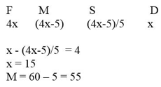
(8) In a family, a couple has a son and daughter. The age of the father is four times that of his daughter and the age of the son is one-fifth of his mother. The wife is five years younger to her husband and the brother is four years younger than his sister. What is the age of the mother?
एक परिवार में , एक विवाहित जोड़ा जिसके एक पुत्र और एक पुत्री है । पिता की आयु पुत्री की आयु का चार गुना है और पुत्र की आयु माता की आयु का एक पंचमास है । यदि पत्नी अपने पति से 5 वर्ष छोटी है और और भाई अपनी बहन से 4 वर्ष छोटा है तो माता की आयु ज्ञात कीजिये।
(1) 60
(2) 65
(3) 45
(4) 55
(5) None of these
(9) Three numbers A, B and C are in the ratio 2 : 3 : 7 and their average is 540 . If A is increased by 20% and B is decreased by 30%, then to get the average increased by
C will be increased by how much percent?(approx)
तीन संख्याओं A, B और C क्रमशः 2 : 3 : 7 के अनुपात में है और इनका औसत 540 है । यदि A को 20% बढ़ा दिया जाता है और B को 30% कम कर दिया जाता है और औसत
बढ़ जाता है । तो C में प्रतिशत वृद्धि क्या होगी?(लगभग)
(1) 28%
(2) 36%
(3) 44%
(4) 19%
(5) 8%
(10) A rectangular plot has a concrete path running in the middle of the plot parallel to the length of the plot. The rest of the plot is used as lawn, which has an area of 864sq.m. If the width of the path is 6 m and the length of the plot is greater than its breadth by 6 m , what is the area of the plot ? ( in sq. meter )
एक आयतकार खेत के मध्य भाग में लम्बाई के समांतर एक कंक्रीट पथ बना हुआ है । खेत का शेष भाग लॉन बनाने में प्रयोग किया जाता है जिसका क्षेत्रफल 864 वर्ग मीटर है । यदि कंक्रीट पथ की चौड़ाई 6 मीटर है और खेत की लम्बाई उसकी चौड़ाई से 6 मीटर अधिक है तो खेत का क्षेत्रफल ज्ञात कीजिये?
(1) 2506 m2
(2) 1208 m2
(3) 1588 m2
(4) Cannot be determine
(5) None of these
Answer Key-
Q-(1) Sol-(5)
30% of 4450 + 60% of 350 = ?
1335 + 210 = ?
? = 1545
Q-(2) Sol-(5)
? = 57.5 + 225 .35
= 282.85
Q-(3) Sol-(2)
Q-(4) Sol-(2)
855.45 +265.102+ 584.321 – 520.234 = ?
? = 1184.639
Q-(5) Sol-(3)
Q-(6) Sol-(2)
Q-(7) Sol-(4)
Cost price of the table : cost price of chair = 3 : 2
let the cost price of table = 300
and the cost price of chair = 200
according to question,
total profit = 3 × 10 - 2 × 8 = 14
14 % = 210
1% = 15
300% = 4500
Q-(8) Sol-(4)
Q-(9) Sol-(2)
2x +3x + 7x = 540×3
12x = 1620
x = 135
A = 270 B = 405 C = 945
According to question
324+ 283.5 + x = 3×630
x = 1282.5
Increase in C = 36% (approx)
Q-(10) Sol-(5)
let the breadth of the plot is x meter
so length of the plot will be = x + 6
so area of the plot will be equal to x × ( x +6 )
length of the lawn is = x + 6 meter
breadth of the lawn is = 6 meter
so , according to question,
x×(x+6)– (x+6) 6 = 864
x2 + 6x–6x–36 = 864
x2 = 900
x = 30
b= 30 l = 36
Area of the plot is = 30 × 36 = 1080 m2

0 comments:
Post a Comment
MAHENDRA GURU