Dear Readers,
As SSC CGL & MTS notification is out and candidates have started their preparation for this exam. Mahendras also has started special quizzes for this examination. This series of quizzes are based on the latest pattern of the SSC CGL & MTS examination. Regular practice of the questions included in the quizzes will boost up your preparations and it will be very helpful in scoring good marks in the examination.
Q. 1. The average of twelve numbers is 42. The average of the last five numbers is 40, and that of the first four numbers is 44. The 6th number is 6 less than the fifth and 5 less than the 7th number. The average of the 5thand the 7th numbers is:
बारह संख्याओं का औसत 42 है। अंतिम पाँच संख्याओं का औसत 40 है, और पहली चार संख्याओं का औसत 44 है । 6 वीं संख्या 5 वीं से 6 कम और 7 वीं संख्या से 5 कम है। 5 वीं और 7 वीं संख्याओं का औसत है:
(A) 44
(B) 43.5
(C) 43
(D) 44.5
Q. 2. Find the unit digit of 771 + 663 × 365.
771 + 663 × 365 के इकाई का अंक ज्ञात कीजिये ।
(A) 1
(B) 2
(C) 3
(D) 4
(A) 3
(B) 2
(C) 1
(D) 0
Q. 5. A sum of money at simple interest amounts to Rs.1012 in
years and to Rs.1048.8 in
years. The rate of interest is-
एक धनराशि साधारण ब्याज की दर से
वर्ष में 1012 रु. हो जाती है और
वर्ष में 1048.8 रु. हो जाती है । ब्याज की दर है-
(A) 2.5%
(B) 3%
(C) 4%
(D) 5%
Q. 6. A can finish a work in 18 days and B can do the same work in 15 days. B worked for 10 days and left the job. In how many days, A alone can finish the remaining work?
A एक कार्य 18 दिनों में और B उसी कार्य को 15 दिनों में पूरा कर सकता है। B ने वह कार्य 10 दिनों तक करके छोड़ दिया। तदनुसार, A अकेला शेष कार्य को कितने दिनों में पूरा कर पाएगा?
(B) 5
(C) 8
(D) 6
(A) 4
(B) 10
(C) 12
(D) 18
Q. 8. A boat goes 40 km downstream in one hour and the same distance upstream in two hours. What is the speed of the boat in still water?
एक नाव धारा के विपरीत 40 किमी की दूरी एक घण्टे में तथा उतनी ही दूरी धारा की दिशा में दो घंटे में तय करती है । शांत जल में नाव की चाल क्या है?
(A) 30 kmph/ किमी. /घंटा
(B) 25 kmph/ किमी. /घंटा
(C) 20 kmph/ किमी. /घंटा
(D) 15 kmph/ किमी. /घंटा
Q. 9. The average marks of Rinku, Mohit and Suman is 65. Rinku's marks is 18 less than Alok and 12 more than Mohit. If Alok got 38 marks more than the average marks of Rinku, Mohit and Suman. Then what is the sum of marks of Mohit and Suman?
रिंकू, मोहित और सुमन के औसत अंक 65 है। रिंकू के अंक आलोक से 18 कम और मोहित से 12 अधिक है। यदि आलोक को रिंकू, मोहित और सुमन के औसत अंकों से 38 अंक अधिक मिले तो मोहित और सुमन के अंकों का योग क्या है?
(A) 124
(B) 110
(C) 108
(D) 120
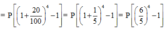
Q. 10. The difference of simple interest and compound interest for 4 years at 20% per annum is Rs. 342, find the principal?
4 वर्ष के लिए साधारण ब्याज और चक्रवृद्धि ब्याज का 20% प्रतिवर्ष की दर से अंतर 342 रूपये है, मूलधन ज्ञात कीजिए।
(A) Rs. / रू. 1250
(B) Rs. / रू. 1050
(C) Rs. / रू. 1850
(D) Rs. / रू. 1660
Answer key:-
1. Sol. (D)
Let the 6th number
be x. / माना 6वीं संख्या x है ।
12 × 42 = 5 × 40 + 4 × 44 + x + x + 5 + x + 6
504 = 200 + 176 + 3x + 11
3x = 117
x = 39
2. Sol. (A)
Unit digit of 771 + 663 × 365/771
+ 663 × 365= 3 + 6 × 3 = 1
3. Sol. (C)
4. Sol. (D)
5. Sol. (C)
Interest for 1 year/1 वर्ष के लिए ब्याज = Rs. / रु. 1048.8 – Rs. / रु. 1012 = Rs. / रु. 36.8
6. Sol. (D)
7. Sol. (D)
8. Sol. (A)
Let the speed of boat in still water/ माना नाव की स्थिर जल में चाल = x kmph/ किमी. /घंटा
and the rate of stream/ और धारा की चाल = y kmph/ किमी. /घंटा
From (I) and (II), we get/ (I) और (II) से, हम प्राप्त करते हैं
x = 30 kmph/ किमी. /घंटा
9. Sol. (B)
Rinku/ रिंकू + Mohit/ मोहित + Suman/ सुमन = 195 ____ (I)
Rinku/ रिंकू = Alok/ आलोक – 18_____ (II)
Rinku/ रिंकू = Mohit/ मोहित + 12 ______ (III)
Alok/ आलोक = 65 + 38 = 103
Rinku/ रिंकू = 85
Mohit/ मोहित = 73
Suman/ सुमन = 37
Required sum/ अभीष्ट योग = 73 + 37 = 110
10. Sol. (A)
According to the question/ प्रश्नानुसार,

0 comments:
Post a Comment
MAHENDRA GURU