Mahendras has started special quizzes for IBPS & SBI Exam so that you can practice more and more to crack the examination. This IBPS & SBI Exam special quiz series will mold your preparations in the right direction and the regular practice of these quizzes will be really very helpful in scoring good marks in the Examination. Here we are providing you the important question of reasoning ability for the for the the IBPS & SBI Exam.
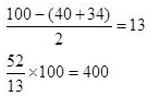
(1) A man read 2/5 part of a book on 1st day, 34% on second day and remaining page in next two days. On those two days he read equal number of pages. If he read 52 page on last day, then find out how many pages did the book contain?
एक व्यक्ति पहले दिन किसी किताब का 2/5 भाग, दूसरे दिन 34% और शेष भाग को अगले दो दिनों में पढता है। यदि उसने दो दिनों में समान पेजों की संख्या को पढ़ा हैं और अंतिम दिन में पढ़े गए पेजों की संख्या 52 थी, तो किताब में पेजों की कुल संख्या ज्ञात कीजिये।
(1) 600
(2) 550
(3) 450
(4) 400
(5) 500
(2) A and B can do a piece of work in 20 days and 30 days respectively. They started the work together but after 8 days they decide to work on alternate days, starting with B. In how many days the work will be completed?
A और B किसी कार्य को क्रमशः 20 दिन और 30 दिन में कर सकते हैं। वे एक साथ काम शुरू करते है और 8 दिन के पश्चात वे एकान्तर दिनों में कार्य करने का निर्णय लेते है जिसमे B पहले कार्य शुरू करता है। ज्ञात कीजिए कार्य कितने दिन में पूरा हो जायेगा?
(1) 8
(2) 10
(3) 12
(4) 16
(5) 20
(3) A, B and C enter into a partnership in the ratio 2 : 3 : 5 . After 2 months, A increases his share 20% and B by 10%. If the total profit at the end of one year is Rs 190500, what amount have C at the end of year?
A, B और C, 2: 3: 5 के अनुपात में एक साझेदारी करते है। 2 महीने के बाद, A अपने भाग में 20% और B अपने भाग में 10 % बढ़ा देता है। यदि एक वर्ष के अंत में कुल लाभ 190500 रुपये है, वर्ष के अंत में C के पास कितना धन था?
(1) 90000
(2) 85000
(3) 82500
(4) 81000
(5) None of these
(4) A shopkeeper sold an article and calculated his profit percentage on the selling as 25%. Find the actual percentage profit of the shopkeeper.
एक दूकानदार अपना प्रतिशत लाभ विक्रय मूल्य पर 25% की गणना करता है. दूकानदार का वास्तविक प्रतिशत लाभ ज्ञात कीजिये।
(1) 3.33%
(2) 67.66%
(3) 33.33%
(4) 25%
(5) 12%
(5) Two dice are rolled together what is the probability that the total score is odd and prime number greater than 5?
दो पासे एक साथ फेंके जाते है क्या संभावना की कुल योग 5 से अधिक तथा विषम और अभाज्य संख्या हो ?
(1) 1/9
(2) 2/9
(3) 3/8
(4) 4/ 9
(5) 5/8
(6) In an exam of Hindi and English subjects; 91 students failed in both Hindi and English. During the announcement of the result in the class; class teacher says; 23% students passed in only Hindi; 17% students passed in only English while 25% students passed in both the subjects. Find how many students appeared in the exam.
हिंदी और अंग्रेजी की एक परीक्षा में; 91 विद्यार्थी दोनों विषयों में अनुतीर्ण हुए. परिणाम घोषित करते वक़्त अध्यापक ने यह कक्षा में यह घोषित किया कि 23% विद्यार्थी केवल हिंदी में पास हुए, 17% विद्यार्थी केवल अंग्रेजी में पास हुए जबकि 25% विद्यार्थी दोनों विषयों में पास हुए. बताइए की परीक्षा में कुल कितने विद्यार्थी शामिल हुए?
(1) 300
(2) 310
(3) 325
(4) 345
(5) Cannot be determined
(7) A and B are two persons. If A works with its actual efficiency and B twice of its actual efficiency, then it takes 25 days to complete the work. But If A works twice of its actual efficiency and B with its normal efficiency then the work is completed in 20 days. How many days would it take if B alone works with its actual efficiency (in Days)?
A तथा B दो व्यक्ति है. यदि A अपनी वास्तविक कार्य क्षमता से और B अपनी वास्तविक कार्य क्षमता के दुगुनी कार्य क्षमता से कार्य करे तो पुरे कार्य को समाप्त होने में 25 दिन लगते है. यदि A अपनी वास्तविक कार्य क्षमता के दुगुनी कार्य क्षमता से कार्य करे और B अपनी वास्तविक कार्य क्षमता से कार्य करे तब पुरे कार्य को समाप्त होने में 20 दिन लगते है. तो बताइए B अगर अपनी वास्तविक कार्य क्षमता से अकेले कार्य करे तो पूरे कार्य को समाप्त होने में कितना समय लगेगा?
(1) 125
(2) 150
(3) 100
(4) 400
(5) 120
(8) Milk and water are mixed in a vessel A as 4:1 and in vessel B as 3:2. For vessel C, if one takes equal quantities from A and B, find the ratio of milk to water in C?
दूध तथा पानी को बर्तन A में 4:1 के अनुपात में और बर्तन B में 3:2 के अनुपात में हैं | यदि बर्तन C में बर्तन A और बर्तन B को सामान मात्रा में मिलाया जाए तो दूध और पानी का बर्तन C में अनुपात ज्ञात कीजिये ?
(1) 1 : 3
(2) 4 : 7
(3) 7 : 3
(4) 7 : 10
(5) 10 : 7
(9) What will come in place of the question mark (?) in the following number series?
दी गयी संख्या श्रृंखला में प्रश्नवाचक चिह्न (?) के स्थान पर क्या मान आएगा ?
6 7 ? 51 208 1045
(1) 13
(2) 16
(3) 24
(4) 37
(5) 41
(10) What will come in place of the question mark (?) in the following number series?
दी गयी संख्या श्रृंखला में प्रश्नवाचक चिह्न (?) के स्थान पर क्या मान आएगा?
841 ? 1089 1225 1369 1521
(1) 1073
(2) 1003
(3) 961
(4) 902
(5) 889
Answer key:-
Q-(1) Sol-(4)
Q-(2) Sol-(4)
20 3
60
30 2
Work done in 8 days=8×5=40
again work done in next 2 days=2+3=5
work done in 8 days=8×5=40
So required answer=8+8=16 days
Q-(3) Sol-(1)
Q-(4) Sol-(3)
Q-(5) Sol-(2)
Q-(6) Sol-(3)
325
Q-(7) Sol-(3)
Q-(8) Sol-(3)
Q-(9) Sol-(2)
×1+1, ×2+2, ×3+3, ×4+4, ×5+5
Q-(10) Sol-(3)
+120, +128, +136, +144, +152

0 comments:
Post a Comment
MAHENDRA GURU