Mahendras has started special quizzes for IBPS & SBI Exam so that you can practice more and more to crack the examination. This IBPS & SBI Exam special quiz series will mold your preparations in the right direction and the regular practice of these quizzes will be really very helpful in scoring good marks in the Examination. Here we are providing you the important question of reasoning ability for the for the the IBPS & SBI Exam.
(1) A, B and C enter into a partnership in the ratio 2 : 3 : 5. After 2 months, A increases his share 20% and B by 10%. If the total profit at the end of one year is Rs 190500, what amount have C at the end of year?
A, B और C 2 : 3: 5 के अनुपात में एक साझेदारी करते है। 2 महीने के बाद, A अपने भाग में 20% और B अपने भाग में 10 % बढ़ा देता है। यदि एक वर्ष के अंत में कुल लाभ 190500 रुपये है, वर्ष के अंत में C के पास कितना धन था?
(1) 90000
(2) 85000
(3) 82500
(4) 81000
(5) None of these
(2) A shopkeeper sold an article for Rs. 840 after giving 16% discount on the marked price and made 20% profit on the cost price what would have been the percentage profit if he had not given the discount?
एक दुकानदार एक वस्तु को अंकित मूल्य पर 16% छूट देकर 840 रूपये में बेचता है और लागत मूल्य पर 20% लाभ अर्जित करता है। यदि वस्तु पर छूट न दी जाये तो उसे कितने प्रतिशत का लाभ होगा ?
(3) The compound interest on a certain sum of money at
किसी निश्चित धन पर
(1) 810
(2) 760
(3) 720
(4) 600
(5) Cannot be determined
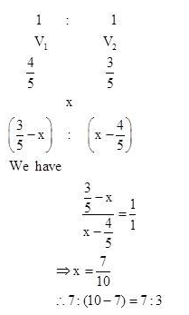
(4) Milk and water are mixed in a vessel A as 4 : 1 and in vessel B as 3 : 2. For vessel C, if one takes equal quantities from A and B, find the ratio of milk to water in C?
दूध तथा पानी को बर्तन A में 4 : 1 के अनुपात में और बर्तन B में 3 : 2 के अनुपात में हैं | यदि बर्तन C में बर्तन A और बर्तन B को समान मात्रा में मिलाया जाए तो दूध और पानी का बर्तन C में अनुपात ज्ञात कीजिये?
(1) 1 : 3
(2) 4 : 7
(3) 7 : 3
(4) 7 : 10
(5) 10 : 7
(5) A and B are two persons. If A works with its actual efficiency and B twice of its actual efficiency then it takes 25 days to complete the work. But If A works twice of its actual efficiency and B with its normal efficiency then the work is completed in 20 days. How many days would it take if B alone works with its actual efficiency (in Days)?
A तथा B दो व्यक्ति है यदि A अपनी वास्तविक कार्यक्षमता से और B अपनी वास्तविक कार्यक्षमता के दुगुनी कार्यक्षमता से कार्य करे तो पूरे कार्य को समाप्त होने में 25 दिन लगते है. यदि A अपनी वास्तविक कार्यक्षमता के दुगुनी कार्यक्षमता से कार्य करे और B अपनी वास्तविक कार्यक्षमता से कार्य करे तब पूरे कार्य को समाप्त होने में 20 दिन लगते है. तो बताइए B अगर अपनी वास्तविक कार्यक्षमता से अकेले कार्य करे तो पूरे कार्य को समाप्त होने में कितना समय लगेगा?
(1) 100
(2) 110
(3) 125
(4) 120
(5) None of these.
Q-(6-10) Read the following information carefully and answer the following question
Number of ticket of 5 Films sold in 6 different cities.(in thousands)
निम्न दी गयी जानकारी को ध्यानपूर्वक पढ़े और निम्न प्रश्न का उत्तर दीजिये
छ: विभिन्न शहरों में 5 फिल्मों के बिके टिकटों की संख्या (हजारो में)
(6) Ticket of Sultan sold in Hyderabad is what percent of the total number of Sultan ticket sold in all the given cities together?
हैदराबाद में सुल्तान के बिके टिकटों की संख्या सभी शहरों में सुल्तान के बिके कुल टिकटों का कितना प्रतिशत हैं?
(1) 15
(2) 20
(3) 25
(4) 30
(5) None of these.
(7) What is the difference between the number of ticket of Film Dangal ticket of Mumbai and Delhi and the number of ticket of Film Pink of Lucknow and Chennai?
फिल्म दंगल के दिल्ली और मुंबई में बिके टिकेट और फिल्म पिंक के लखनऊ और चेन्नई में बिके टिकटों का अंतर क्या हैं?
(1) 10
(2) 1000
(3) 100
(4) 10000
(5) None of these
(8) If the price of ticket for Shivaaye is Rs 120 without tax and a total of 92.5% tax is imposed on the ticket what will be the ratio of collection earned by film Shivaaye in Shimla and Mumbai, if State Government of Uttrakhad declare Shivaaye Tax free?
यदि शिवाय के टिकट का मूल्य बिना कर के 120 रू हैं और इस पर 92.5% तक लगता हैं तो शिमला और मुंबई में फिल्म शिवाय की बिके टिकटों से प्राप्त राजस्व का अनुपात क्या है यदि उत्तराखंड की राज्य सरकार ने इस कर मुक्त घोषित कर दिया हो?
(1) 360 : 1309
(2) 1309 : 360
(3) 9 : 17
(4) 17 : 9
(5) Cannot be determined.
(9) If the number of tickets sold of film PINK in these six cities are 80% of the total tickets of film Pink sold in India and the total number of ticket sold over the globe except India is 20% of the total number of of ticket sold over the globe. Find the total number of tickets of Pink sold over the globe?
यदि छ: शहर में फिल्म पिंक के बेचे गए टिकेट भारत में बेचे गए फिल्म पिंक के कुल टिकेट का 80% हैं और पूरे विश्व में भारत के अलावा फिल्म पिंक के बेचे गए टिकट पूरे विश्व में फिल्म पिंक के बेचे गए कुल टिकटों की संख्या का 20% हैं | पूरे विश्व में फिल्म पिंक के बेचे गए टिकटों की संख्या ज्ञात कीजिये?
(1) 293750
(2) 239750
(3) 209375
(4) 275930
(5) 259370
(10) In which city total number of tickets of all the five movie is minimum?
किस शहर में पांचो फिल्मो के बिके हुए टिकटों की संख्या सबसे कम हैं?
(1) Shimla
(2) Lucknow
(3) Delhi
(4) Mumbai
(5) None of these
Answer Key-
Q-(1) Sol-(1)

0 comments:
Post a Comment
MAHENDRA GURU