Dear Readers,
As SSC CGL & MTS notification is out and candidates have started their preparation for this exam. Mahendras also has started special quizzes for this examination. This series of quizzes are based on the latest pattern of the SSC CGL & MTS examination. Regular practice of the questions included in the quizzes will boost up your preparations and it will be very helpful in scoring good marks in the examination.
(1) Mr. Sharma sold his bike to Mr. Kelkar at a loss of 20%.Mr. Kelkar spends Rs 2,000 on its repair and sells it for Rs 22,000, thus making a profit of 10%.Then the cost price of the bike for Mr. Sharma is
श्री शर्मा ने अपनी बाइक श्री केलकर को 20% हानि पर बेची। इसके बाद श्री केलकर ने उसकी मरम्मत पर 2,000 रू. खर्च किए और उसे 22,000 रू. में बेचकर, 10% लाभ प्राप्त किया। तदनुसार, श्री शर्मा के लिए उस बाइक का लागत मूल्य है-
(A) Rs 18,500
(B) Rs 25,000
(C) Rs 22,500
(D) Rs 15,000
(2) The value of
is equal to-
का मान बराबर है –
(A) sin θ
(B) cos θ
(C) tan θ
(D) cot θ
(3) A starts a business with an investment of Rs.28000. Five months later B joins and further two months later C joins them. If the profit sharing ratio at the end of the year is 4 : 3 : 2 then money invest by C was?
A ने 28000 रू.के निवेश के साथ एक व्यापार प्रारम्भ किया, पॉच माह बाद B शामिल होता है। और अगले दो माह बाद C शामिल होता हे। यदि वर्ष के अन्त में लाभ वितरण अनुपात 4 : 3 : 2 है तो C के द्वारा निवेशित धनराशि थी?
(A) Rs.24600
(B) Rs.32800
(C) Rs.33600
(D) Rs.36500
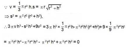
(4) If h, s and v are the height, curved surface and volume of a cone respectively, then (3πvh3 - s2h2 + 9v2) is equal to-
यदि एक शंकु की ऊँचाई, वक्रपृष्ठ और आयतन क्रमशः h, s और v हो तो (3πvh3 - s2h2
+ 9v2) बराबर है-
(A) 0
(B) 2
(C) 2π
(D) 3π2
(5) If I walk at 4 km/hr, I miss the bus by 10 minutes.If I walk at 5 km/hr, I am 5 minutes early. How much do I walk to reach the bus stand?
यदि मैं 4 किमी./घंटा की गति से चलॅू , तो मेरी बस 10 मिनट पहले छूट जाती हैं। यदि मै 5 किमी./घंटा की गति से चलॅू तो मैं बस के लिए 5 मिनट पहले पहुँच जाता हूँ। तदनुसार, मुझे बस -अड्डे तक जाने के लिए कितना चलना होता है?
(A) 3 km/किमी
(B) 5 km/किमी
(C) 4 km/किमी
(D) 6 km/किमी
(6) A book dealer purchased 2500 books for Rs.150000. When he sold the book to retailer then he gave 200 books free for specimen and also allowed a discount of 20% on the mark price and give 1 book free for every purchase of 22 books. Find the amount of profit or loss if the M.R.P. of each book is Rs.120
एक किताब विक्रेता 2500 किताबें 150,000 रू. में खरीदता है। अब वह इन्हें फुटकर विक्रेता को बेचता है तो वह 200 किताबें नमूने के लिए मुफ्त में देता है और अंकित मूल्य पर 20 प्रतिशत की छूट देता है तथा प्रत्येक 22 किताबें खरीदने पर 1 किताब मुफ्त में देता है। कुल लाभ या हानि की गणना कीजिए यदि प्रत्येक किताब का अंकित मूल्य 120 रू. है।
(A) 41800 Profit/लाभ
(B) 61200 Profit/लाभ
(C) 62400 Loss/हानि
(D) 4800 Loss/हानि
(7) There are three brothers. The sum of ages of two of them at a time are 4 years, 6 years and 8 years. Find the difference between the age of the eldest and the youngest brother ?
तीन भाई हैं। उनमें से किन्ही दो की आयु का योग एक ही समय पर 4 वर्ष, 6 वर्ष है तथा 8 वर्ष है। सबसे बड़े तथा सबसे छोटे भाई की आयु में अंतर ज्ञात कीजिए।
(A) 2
(B) 3
(C) 4
(D) 5
(8) What is the HCF of 4x3 + 3x2y - 9xy2 + 2y3 and
x2 + xy - 2y2 ?
4x3 + 3x2y - 9xy2 + 2y3 और x2 + xy - 2y2 का म.स.प. क्या है?
(A) x - 2y
(B) x - y
(C) (x- 2y) (x-y)(x+2y) (x-y)
(D) (x + 2y) (x-y)
(9) 16 men and 32 women can complete a work in 12 days. 28 men and 24 women can complete the same work in 9 days. Find the ratio of efficiency of 3 men and 5 women.
16 आदमी और 32 महिलाएँ एक कार्य को 12 दिन में पूरा कर सकते हैं। 28 आदमी और 24 महिलाएँ उसी कार्य को 9 दिनों में पूरा कर सकती हैं। 3 आदमियों और 5 महिलाओं की क्षमता का अनुपात ज्ञात कीजिए।
(A) 14 : 5
(B) 5 : 14
(C) 3 : 14
(D) 14 : 3
(10) The ratio of successful and unsuccessful examinees in an examination in a school is 6 : 1. The ratio would have been 9 : 1, if 6 more examinees had been successful. the total number of examinees are-
एक स्कूल में एक परीक्षा में सफल और असफल परीक्षार्थियों का अनुपात 6 : 1 है । यदि 6 परीक्षार्थी अधिक सफल होते तो अनुपात 9 : 1 हो जाता है तो कुल परीक्षार्थियों की संख्या है -
(A) 140
(B) 120
(C) 200
(D) 160
Answer Key-
Q-(1) Sol-(C)

Q-(2) Sol-(C)
Q-(3) Sol-(C)
Q-(4) Sol-(A)
Q-(5) Sol-(B)
Q-(6) Sol-(B)
Given C.P of 2500 books =150,000
Since every purchase of 22 books = 1 free
Here on selling 2200 books =100 free
and 200 books gave for specimen
Q-(7) Sol-(C)
Let present age of three brothers are x, y and z respectively
According to question,
x+y = 4 ..........(i)
y + z = 6 ........... (ii)
z + x = 8 ............(iii)
Adding (i),(ii),(iii)
x + y + z = 9 .......(v)
from (i) & (iv) z =5
from (ii) & (iv) x = 3
from (iii) & (v) y = 1
Required Difference = 5 - 1 =4
Q-(8) Sol-(D)
Let p(x) = 4x3
+ 3x2y - 9xy2 + 2y3
= (x - y) (4x2 + 7xy - 2y2) = (x - y) (x + 2y) (4x - y)
and q(x) = x2 + xy - 2y2 = (x - y) (x + 2y)
.˙.H.C.F -= (x - y) (x +
2y)
Q-(9) Sol-(D)
(16m+32w)×12=(28m+24w)×9
64m+128w = 84m+72w
56w = 20m
m : w = 56 : 20 = 14 : 5 = 14 : 5
Required ratio of efficiency of 5 men and 3 = 5×14 : 3×5 = 14 :3
Q-(10) Sol-(A)
0 comments:
Post a Comment
MAHENDRA GURU