Mahendras has started special quizzes for IBPS & SBI Exam so that you can practice more and more to crack the examination. This IBPS & SBI Exam special quiz series will mold your preparations in the right direction and the regular practice of these quizzes will be really very helpful in scoring good marks in the Examination. Here we are providing you the important question of reasoning ability for the for the the IBPS & SBI Exam.
Q-(1-5) In each of the following questions, two equations (I) and (II) are given. You have to solve them and state the correct relationship
निम्नलिखित प्रश्नों में दो समीकरण (I) और (II) दिये गये है दोनों समीकरण हल कीजिए और सही सम्बन्ध स्थापित कीजिए-
(1) (I) 5x – 2y = 31
(II) 3x + 7y = 36
(1) If x > y
(2) If x > y
(3) If x < y
(4) If x < y
(5) If x = y or relationship cannot be established / x=y या सम्बन्ध स्थापित नहीं किया जा सकता है
(2) (I) 2x2 + 11x + 12 = 0
(II) 5y2 + 27y + 10 = 0
(1) If x > y
(2) If x > y
(3) If x < y
(4) If x < y
(5) If x = y or relationship cannot be established / x=y या सम्बन्ध स्थापित नहीं किया जा सकता है
(3) (I) x2 – 1 = 0
(II) y2 + 4y + 3 = 0
(1) If x > y
(2) If x > y
(3) If x < y
(4) If x < y
(5) If x = y or relationship cannot be established / x=y या सम्बन्ध स्थापित नहीं किया जा सकता है
(4) (I) x3 – 371 = 629
(II) y3– 543 = 788
(1) If x > y
(2) If x > y
(3) If x < y
(4) If x < y
(5) If x = y or relationship cannot be established / x=y या सम्बन्ध स्थापित नहीं किया जा सकता है
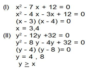
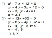
(5) (I) xx2 – 7x + 12 = 0
(II) yx2 – 12y + 32 = 0
(1) If x > y
(2) If x > y
(3) If x < y
(4) If x < y
(5) If x = y or relationship cannot be established / x=y या सम्बन्ध स्थापित नहीं किया जा सकता है
(6) The respective ratio of monthly incomes of A, B and C is 84 : 67 : 89 respectively.If B's annual income is Rs.120600 then what is the sum of annual income of A and B?
A, B और C की मासिक आय के बीच अनुपात क्रमशः 84 : 67 : 89 है। यदि B की वार्षिक आय 120600 रू. है तो A और C की वार्षिक आय का योग क्या है?
(1) Rs.348200
(2) Rs.311400
(3) Rs.302800
(4) Rs.322600
(5) Rs. 362600
(7) In how many different ways can the letters of the word "LECTURE" be arranged?
शब्द "LECTURE" के अक्षरों को अलग-अलग कितने प्रकार से क्रमबद्ध किया जा सकता है?
(1) 5040
(2) 720
(3) 1260
(4) 2520
(5) 630
(8) A number when multiplied by five times of itself gives the value equal to 1445. What is the number?
एक संख्या को जब उस संख्या के पाँच गुने से गुणा किया जाता है तो मान 1445 के बराबर प्राप्त होता है तो संख्या क्या है?
(1) 19
(2) 20
(3) 15
(4) 17
(5) 24
Q-(9-10) What should come in place of the question mark (?) in the following question?
निम्न प्रश्न में प्रश्नवाचक चिन्ह (?) के स्थान पर क्या आयेगा ?
(1) 5
(2) 4
(3) 10
(4) 15
(5) 25
(10) (13.12)2 + (?)2 = 757.7744
(1) 25.2
(2) 24.4
(3) 24.2
(4) 24.8
(5) 25.6
Answer Key-
Q-(1) Sol-(1)
Q-(2) Sol-(5)
Q-(3) Sol-(2)
Q-(4) Sol-(3)
Q-(5) Sol-(4)
Q-(6) Sol-(2)
Q-(7) Sol-(4)
Q-(8) Sol-(4)
Let the number be x.
5x2 = 1445
x2 = 289
x = 17
Q-(9) Sol-(5)
Q-(10) Sol-(3)
(13.12)2
+ (?)2 = 757.7744
172.1344
+ (?)2 = 757.7744
(?)2
= 757.7744 - 172.1344
(?)2
= 585.64
? = 24.2

0 comments:
Post a Comment
MAHENDRA GURU