Mahendras has started special quizzes for IBPS & SBI Exam so that you can practice more and more to crack the examination. This IBPS & SBI Exam special quiz series will mold your preparations in the right direction and the regular practice of these quizzes will be really very helpful in scoring good marks in the Examination. Here we are providing you the important question of reasoning ability for the for the the IBPS & SBI Exam.
Q.(1) A vessel contain some litres of pure milk. If 25 litre of water is added to the vessel, then ratio between milk and water becomes 12:5, 17 litres of mixture is drawn from the vessel and 10 litre of water is added to the mixture. Find the new ratio between milk and water.
एक बर्तन में कुछ लीटर शुद्ध दूध हैं। यदि इसमें 25 लीटर पानी मिला दिया जाए तो बर्तन नें दूध और पानी का अनुपात 12 : 5 हो जाता हैं , इसमें से 17 लीटर मिश्रण निकाल कर 10 लीटर पानी मिला दिया जाए तो दूध और पानी का अनुपात ज्ञात कीजिये?
(1) 8 : 5
(2) 5 : 8
(3) 6 : 5
(4) 5 : 6
(5) Cannot be determined/तय नहीं किया जा सकता।
Q.(2) Ratio between heights of two cylinder in the ratio 3:5. Their volumes are in the ratio 27:80. Find ratio between their radius?
दो बेलन की ऊँचाई का अनुपात 3 : 5 हैं ,उनके आयतनों का अनुपात 27 : 80 हैं। तो उनकी त्रिज्यो का अनुपात ज्ञात कीजिये?
(1) 9 : 16
(2) 16 : 9
(3) 3 : 4
(4) 4 : 3
(5) 9 : 20
Q.(3) A man invested a sum of money in Scheme A, at a rate of 15% per annum for simple interest, at the end of 2 years the amount received by him is invested in scheme B at 20% per annum for compound interest. If the interest received by him from scheme B at the end of 2 years is Rs. 2860, then find the sum invested by man in the beginning?
एक आदमी कुछ धनराशि योजना A में 15% की दर से साधारण ब्याज पर निवेश करता है, 2 वर्ष के अंत पर प्राप्त धनराशि को वह योजना B में 20% ब्याज दर से चक्रवृद्धि ब्याज पर निवेश करता है। यदि योजना B से 2 वर्ष के अंत में उसे रू 2860 ब्याज प्राप्त होता हैं , तो आदमी द्वारा प्रारंभ में निवेश धनराशि ज्ञात कीजिये ?
(1) 3250
(2) 5000
(3) 6500
(4) Cannot be determined/तय नहीं किया जा सकता
(5) None of these / इनमें से कोई नहीं।
Q.(4) B is 20% more efficient than A. A started the work and work for x days and then A is replaced B. B completed the remaining work in x+8 days. Ratio of the work done by A and B is 2 : 3. In how many days A and B working together can complete the whole work?
B A से 20% अधिक कार्य कुशल है। A कार्य प्रारंभ करता है और x दिन कार्य करते हैं और फिर B इसे बदलता हैं, B शेष कार्य (x+8) दिन में करता हैं। A और B द्वारा किये गए कार्य का अनुपात 2 : 3 हैं। A और B मिलकर इस कार्य को कितने दिनों में पूरा करेंगे?
(3) 35
(4) Cannot be determined/तय नहीं किया जा सकता
(5) None of these / इनमें से कोई नहीं।
Q.(5) A and B started a business investing the money in ratio 4:6, after 6 months B withdraw his investment and C joins him with twice the amount of B. At the end of the year total profit is 3315. Find share of C?
A और B मिलकर एक व्यपार प्रारंभ करते हैं जिसमें इनके निवेश का अनुपात 4 : 6 हैं। 6 माह के बाद B अपना निवेश निकाल लेता हैं और C व्यपार में B से दुगना निवेश करके जुड़ता हैं।वर्ष के अंत में इन्हें कुल लाभ 3315 का हैं तो C का भाग ज्ञात कीजिये ?
(1) 1530
(2) 1535
(3) 1695
(4) 1655
(5) None of these/इनमें से कोई नहीं।
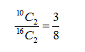
Q.6.) A box contains 10 red ball , 6 green ball if 2 balls are drawn randomly what is the probability of getting non green ball?
एक बॉक्स में 10 लाल , 6 हरी गेंद हैं यदि इनमें से 2 गेंद यादृच्छिक निकाली जाए तो क्या प्रायिकता हैं की गेंदे हरी न हो ?
(1) 3/8
(2) 5/8
(3) 5/16
(4) 16/55
(5) None of these/इनमें से कोई नहीं।
Q.7.A hemispherical bowl of internal diameter 54 cm contains a liquid. The liquid is to be filled in cylindrical bottles of radius 3 cm and height 9 cm, then find the number of bottles that can be filled?
54 सेमी व्यास वाले एक अर्द्धगोलीय प्याले में एक द्रव भरा हैं। इस द्रव को 3 सेमी त्रिज्या और 9 सेमी ऊँचाई वाली बेलनाकार बोतल में भरा जाए तो ज्ञात कीजिये ऐसी कितनी बोतल भरी जा सकती हैं?
(1) 81
(2) 162
(3) 324
(4) 228
(5) None of these/इनमें से कोई नहीं।
Q.8. A is 4 years younger than B. B is 12 years younger than C. 4 years hence the ratio between C and A is 9:5, Find the age of B.
A B से 4 वर्ष छोटा हैं . B C से 12 वर्ष छोटा हैं। 4 वर्ष के पश्चात C और A की आयु का अनुपात 9 : 5 हैं , B की आयु ज्ञात कीजिये ?
(1) 20
(2) 16
(3) 24
(4) 28
(5) None of these/इनमें से कोई नहीं।
Q.9. A can built a wall in 8 days while B can destroy the same wall in 3 days. A start the work and worked for 6 days, during the last 2 days of which B also joins him. In how many days A can finish the remaining work alone?
A किसी दीवार को 8 दिन में बना सकता हैं जबकि B उसी दीवार को 3 दिन में तोड़ सकता हैं। A कार्य प्रारंभ करता हैं और 6 दिन कार्य करता हैं जिसमें आखिरी 2 दिन B भी इसके साथ कार्य करता हैं। A अकेले शेष कार्य कितने दिनों में समाप्त करेगा ?
(1) 6.5 days
(2) 7.33 days
(3) 5.25 days
(4) 8.67 days
(5) None of these
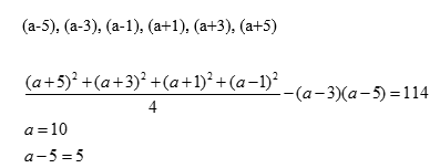
Q.10. The difference between the average of squares of the last four numbers and the product of the first two numbers of 6 consecutive odd numbers is 114. Find the first number.
6 क्रमागत विषम संख्यों के अंतिम चार संख्यओं के वर्ग और प्रथम दो संख्यओं के गुणनफल का अंतर 114 हैं। प्रथम संख्या ज्ञात कीजिये?
(1) 6
(2) 7
(3) 5
(4) 8
(5) None of these
Answer Key-
Q-(1) Sol-(1)
5 ratio = 25 litre
12 ratio = 60 litre
60 – 12 : 25-5+10 = 8 : 5
Q-(2) Sol-(3)
Q-(3) Sol-(2)
Q-(4) Sol-(1)
Q-(5) Sol-(1)
Q-(6) Sol-(1)
Q-(7) Sol-(2)
Q-(8) Sol-(1)
A = B – 4
B = C – 12
C – A = 16
4 ratio = 16 years
1 ratio = 4 years
A+4 = 20
B = 20 – 4 + 4 = 20 years
Q-(9) Sol-(2)
Q-(10) Sol-(3)
Let the average of these six consecutive odd number be a
Then six number will be

0 comments:
Post a Comment
MAHENDRA GURU