Dear Readers,
As SSC CGL & MTS notification is out and candidates have started their preparation for this exam. Mahendras also has started special quizzes for this examination. This series of quizzes are based on the latest pattern of the SSC CGL & MTS examination. Regular practice of the questions included in the quizzes will boost up your preparations and it will be very helpful in scoring good marks in the examination.
(1) If the right prism having trapezium base, whose parallel side are 13cm and 15cm respectively and the distance between them is 12cm. If the volume of the prism is 2150.4
यदि एक लम्ब वृत्तीय प्रिज्म जिसका आधार समलम्ब चतुर्भुज है , जिसकी समान्तर भुजाएं क्रमशः 13 सेमी और 15 सेमी हैं और उनके बीच की दूरी 12 सेमी है. यदि प्रिज्म का आयतन 2150 .4 घन सेमी है, तो प्रिज्म की ऊंचाई ज्ञात कीजिये ?
A. 12.8cm
B. 14.2cm
C. 15.2cm
D. 15.6cm
(2) Three solid metallic sphere whose radii are 3cm, x cm and 18cm respectively, are melted and recast into a single solid sphere of diameter 38cm. Then find the total surface area of the sphere with radius x cm?
तीन धातु के ठोस गोले जिनकी त्रिज्याएँ क्रमशः 3 सेमी , x सेमी और 18 सेमी है , को पिघलाया जाता है और एक बड़े ठोस धातु का गोला जिसका व्यास 38 सेमी है , बनाया जाता है , तो उस गोले का सम्पूर्ण पृष्ठ क्षेत्रफल ज्ञात कीजिये जिसकी त्रिज्या x सेमी है ?
A. 100
C. 300
D. 400
(3) If a cuboid of dimensions 64cm×16cm×8cm is melted and recast into two equal cubes of same size. Then what will be the ratio of the surface are of cuboid to the total surface area of the two cubes?
यदि एक घनाभ जिसकी आयाम 64 सेमी ×16 सेमी ×8 सेमी है, को पिघलाया जाता है, और समान आकार के दो घनो में पुनर्गठित किया जाता है , तो घनाभ के सम्पूर्ण पृष्ठ क्षेत्रफल और दो घनों के सम्पूर्ण पृष्ठ क्षेत्रफल का अनुपात ज्ञात कीजिये ?
A. 16:17
B. 17:16
C. 17:19
D. 16:19
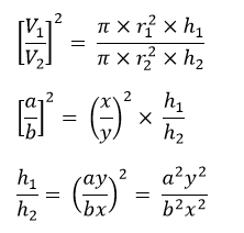
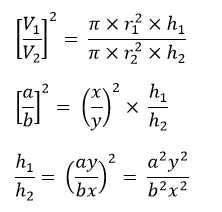
(4) The ratio of the square of volume of two cylinder is a:b and the ratio of their radius is x:y, then what is the ratio of their heights?
दो बेलनो के आयतन के वर्गों का अनुपात a : b है और उनके त्रिज्या का अनुपात x : y है , तो उनके ऊँचाइयों का अनुपात क्या होगा ?
(5) The lateral surface area of a cylinder is 792 cm^2. If its height is 14cm, then its volume (in cm^3) is?
एक बेलन का पार्श्व पृष्ठ क्षेत्रफल 792 वर्ग सेमी^2 है । यदि इसकी ऊँचाई 14 सेमी है , तो उसका आयतन(घन सेमी में ) ज्ञात कीजिये ?
A. 1243
B. 3564
C. 2564
D. 3929
(6) In a
एक
A. 108/19
B. 115/19
C. 112/19
D. 117/28
(7) ABCD is a cyclic quadrilateral in which AB = 28.8cm, BC = 25.6cm and CD = 38.4cm. If AC bisects BD, then AD = ?
ABCD एक चक्रीय चतुर्भुज है जिसमें AB = 28.8 सेमी , BC = 25.6 सेमी और CD = 38.4 सेमी है । यदि AC , BD को समद्विभाजित करता है , तो AD = ?
A. 13.6cm
B. 19.2cm
C. 16.4cm
D. 15.8cm
(8) If each interior angle of a regular polygon is
यदि किसी समबहुभुज के प्रत्येक अन्तः कोण का मान
A. 53
B. 54
C. 55
D. 56
(9) In
A. 5:39
B. 25:3
C. 25:39
D. 5:9
(10) In
A. 18cm
B. 12cm
C. 16cm
D. 15cm
Answer Key-
Q-(1) Sol-(1)
According to the question,
Q-(7) Sol-(2)
Theorem: If either of the diagonals of a cyclic quadrilateral bisects the other diagonal, then the opposite side of the quadrilateral is in the same ratio.

0 comments:
Post a Comment
MAHENDRA GURU