Dear Readers,
As SSC CGL & MTS notification is out and candidates have started their preparation for this exam. Mahendras also has started special quizzes for this examination. This series of quizzes are based on the latest pattern of the SSC CGL & MTS examination. Regular practice of the questions included in the quizzes will boost up your preparations and it will be very helpful in scoring good marks in the examination.
(1) A is as efficient as b and C together. Working together A and B can complete a work in 36 days and C alone can complete it in 60 days. A and C working together for 10 days . B alone will complete the remaining work in?
A, B और C के समान ही कुशल है। A और B एक साथ काम करके 36 दिनों में एक काम पूरा कर सकते हैं और C अकेले इसे 60 दिनों में पूरा कर सकते हैं। A और C 10 दिनों के लिए एक साथ काम किये, B अकेले शेष कार्य को पूरा करेगा?
(A) 110 days दिन
(B) 88 days दिन
(C) 84 days दिन
(D) 90 days दिन
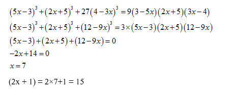
(2) Given that, then find the value of (2x + 1) is ?
दिया है , तो (2x + 1) का मान क्या होगा ?
(A) - 13
(B) 15
(C) – 15
(D) 13
(3) The side of a triangle are 12 cm, 35 cm and 37 cm. What is the circumradius of the triangle ?
एक त्रिभुज की भुजा 12 सेमी, 35 सेमी और 37 सेमी है। त्रिभुज की परित्रिज्या क्या है?
(A) 19 cm सेमी
(B) 17.5 cm सेमी
(C) 17 cm सेमी
(D) 18.5 cm सेमी
(4) (4) A vessel contains a 32 litre solution of acid and water in which the ratio of acid and water is 5 : 3. If 12 litres of the solution is taken out and 7.5 litres of water is added to it, The what is the ratio of acid and water in the resulting solution?
एक बर्तन में एसिड और पानी का 32 लीटर घोल होता है, जिसमें एसिड और पानी का अनुपात 5: 3 होता है। अगर 12 लीटर घोल को निकाला जाए और उसमें 7.5 लीटर पानी डाला जाए, तो परिणामस्वरूप घोल में पानी और एसिड का अनुपात क्या है?
(A) 4 : 7
(B) 5 : 6
(C) 4 : 9
(D) 8 : 11
(5) Monica spends 72% of he income. If her income increased by 20% and saving increased by 15%, then her expenditure increased by (approximate)?
मोनिका ने अपनी आय का 72% खर्च किया। यदि उसकी आय में 20% की वृद्धि हुई और बचत में 15% की वृद्धि हुई, तो उसका व्यय % (लगभग) से बढ़ गया?
(A) 20.8 %
(B) 20.2 %
(C) 21.9 %
(D) 19.8 %
(6) A, B and C started a business with their capital in the ratio of 2 : 3: 5. A increase his capital by 50% after 4 months, B increased hi capital byafter 6 months and C withdrew 50% of his capital after 8 months, form the start of the business. If the total profit at the end of the year was ₹ 86800, then the difference between the share of A and C in the profit was?
A, B और C ने 2: 3: 5. के अनुपात में अपनी पूंजी के साथ एक व्यवसाय शुरू किया। 4 महीने बाद A की पूंजी में 50% की वृद्धि हुई, 6 महीने के बाद B ने पूंजी बढ़ा दी और और C ने 8 महीने बाद अपनी पूंजी का 50% वापस ले लिया यदि वर्ष के अंत में कुल लाभ ₹ 86800 था, तो लाभ में A और C के बीच का अंतर था?
(A) ₹ 12600
(B) ₹ 7000
(C) ₹ 9800
(D) ₹8400
(7) An article was sold at a profit of 14%. Had it been sold for ₹ 121 less, a loss of 8% would have been incurred. If the same article would have been sold for ₹ 536.25, Then the profit /loss percent would have been?
एक वस्तु 14% के लाभ पर बेचा गया था। अगर इसे, 121 कम में बेचा जाता, तो 8% की हानि होती। यदि वही वस्तु ₹ 536.25 में बेचा जाता, तो लाभ / हानि प्रतिशत होता?
(A) 5% Profit लाभ
(B) 5% loss हानि
(C) 2.5% loss हानि
(D) 2.5% Profit लाभ
(8) A shopkeeper allows 18% discount on the marked price of an article and still makes a profit of 23%. If he gains ₹ 1840 on the sale of the article, then what is the marked price of the article?
एक दुकानदार एक वस्तु के चिह्नित मूल्य पर 18% की छूट देता है और अभी भी 23% का लाभ कमाता है। यदि वह वस्तु की बिक्री पर ₹18.40 प्राप्त करता है, तो वस्तु का चिह्नित मूल्य क्या है?
(A) ₹ 140
(B) ₹ 125
(C) ₹ 120
(D) ₹ 146
(9) The value of is ?
का मान क्या है?
(A) 0
(B) –2
(C) 2
(D) 1
(10) A person covers a certain distance in 6 hours, if travels at 40km/h. if he has cover the same distance in 4 hours, then his speed must be?
एक व्यक्ति 6 घंटे में एक निश्चित दूरी को तय करता है, अगर 40km/h. पर यात्रा अगर वह 4 घंटे में उसी दूरी को तय करे, तो उसकी गति होनी चाहिए?
(A) 75 km/hour किमी /घंटा
(B) 50 km/hour किमी /घंटा
(C) 55 km/hour किमी /घंटा
(D) 60 km/hour किमी /घंटा
Answer Key-
Q-(1) Sol. (A)
Q-(3) Sol. (D)
Triangle is right angled .
त्रिभुज समकोण है ।
let the income is = 100
expenditure = 72
saving = 28
New income = 120
new saving = 32.2
new expenditure = 87.8
Q-(6) Sol. (A)
Q-(7) Sol. (C)
114%–92%=121
CP---100=550
Loss %=2.54%
Q-(8) Sol. (C)
Q-(9) Sol. (B)

0 comments:
Post a Comment
MAHENDRA GURU