Dear Readers,
As SSC CGL & MTS notification is out and candidates have started their preparation for this exam. Mahendras also has started special quizzes for this examination. This series of quizzes are based on the latest pattern of the SSC CGL & MTS examination. Regular practice of the questions included in the quizzes will boost up your preparations and it will be very helpful in scoring good marks in the examination.
(1) Which of the following statement(s) is/are TRUE?
निम्नलिखित में से कौन सा / से कथन सत्य है / हैं ?
1.√5 + √5 > √7 + √3
II. √6 + √7 > √8 + √5
III. √3 + √9 > √6 + √6
A. Only I
B. Only II and II
C. Only II and III
D. Only I and III
A. 97
B. (2√3)+2
C. (4√6)+1
D. 98
then which of the following is TRUE ?
कौन सा सत्य होगा ?
मान ज्ञात कीजिये ?
A. 14
B. 18
C. 16
D. 20
and B respectively?
A. 1,0
B. 1,1
C. 0,2
D. 0,1
A. 47
B. 54
C. 59
D. 68
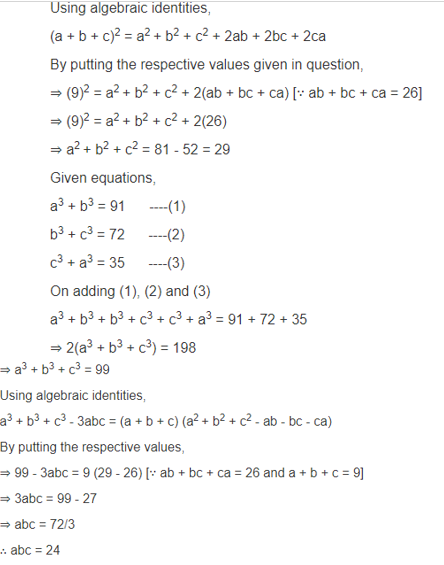
(9) If a + b + c = 9, ab + bc + ca = 26, a^ 3+b^2 = 91, b^3 + c^3 = 72 and c^3 + a^3 = 35, then what is the value of abc ?
यदि a + b + c = 9, ab + bc + ca = 26, a^ 3+b^2 = 91, b^3 + c^3 = 72 और c^3 + a^3 = 35, तो abc का मान ज्ञात कीजिये ?
A. 48
B. 24
C. 36
D. 42
(10) If x ^3– 4x^ + 19 = 6(x - 1), then find the value of [x^2 + {1/(x - 4)}]?
यदि x ^3– 4x^ + 19 = 6(x - 1) ,है , तो [ x^2+ {1/(x - 4)}] का मान क्या होगा ?
A. 3
B. 5
C. 6
D. 8
Answer Key-
Q-(1) Sol-(2)
Q-(2) Sol-(1)
Q-(3) Sol-(2)
Q-(4) Sol-(1)
Q-(5) Sol-(2)
Q-(6) Sol-(2)
Q-(8) Sol-(1)
Q-(9) Sol-(2)
Q-(10) Sol-(3)

0 comments:
Post a Comment
MAHENDRA GURU