Mahendras has started special quizzes for IBPS & SBI Exam so that you can practice more and more to crack the examination. This IBPS & SBI Exam special quiz series will mold your preparations in the right direction and the regular practice of these quizzes will be really very helpful in scoring good marks in the Examination. Here we are providing you the important question of reasoning ability for the for the the IBPS & SBI Exam.
Q.1 A bag contain 25 paisa, 10 paisa and 5 paisa coin are in the ratio 2 : 3 : 5. If the amount in the bag is Rs. 105 find the number of coins of 5 paisa?
एक बैग में 25 पैसे , 10 पैसे एवं 5 पैसे के सिक्के 2 : 3 : 5 के अनुपात में है यदि थेले में कुल 105 रु है तो 5 पैसे के सिक्को की संख्या क्या होगी ?
(1) 50
(2) 200
(3) 300
(4) 500
(5) 600
Q.2 55000 is divided among A, B and C in such a way that B gets 2.5 times of A, and one-third of C. Then find the share of B?
55000 रु. को A , B और C में इस तरह से विभाजित किया जाता है B को A का 2.5 गुना तथा C का एक तिहाई भाग मिलता है, तो B का भाग होगा ?
(1) 12,500
(2) 10,000
(3) 13,000
(4) 25,000
(5) 22,000
Q.3 Ram is 30 years younger to his uncle at present. Five years ago , ram age is one- fourth of his uncle age , find Ram’s uncle age after 5 years ?
राम आज अपने चाचा से 30 वर्ष छोटा है। पांच वर्ष पहले राम की आयु उसके चाचा से एक -चौथाई थी। आज से 5 वर्ष बाद राम के चाचा की आयु कितनी होगी ?
(1) 60 years
(2) 45 years
(3) 50 years
(4) 30 years
(5) none of these
Q.4 The average age of 20 boys is 14 years. A boy who is 16 years old left them and one new boy replace him. Then the average become 13.8 years. Find the age of new boy?
20 लड़को की औसत आयु 14 वर्ष है 16 वर्ष का एक नया लड़का उन्हें छोड़कर चला जाता है और नया लड़का उसके स्थान पर आ जाता है यदि अब उनकी औसत आयु 13.8 वर्ष हो तो नए लड़के की आयु कितनी है ?
(1) 13 years
(2) 12 years
(3) 11 years
(4) 15 years
(5) None of these
Q.5 A man eats 98 chapattis of diameter 6 inches. Then how many chapattis he can be eaten having a diameter of 42 inches?
एक व्यक्ति 6 इंच व्यास की 98 रोटी खा लेता है वह 42 इंच की कितनी रोटी खा लेगा?
(1) 14
(2) 4
(3) 6
(4) 2
(5) 5
Q.6 Sachin is younger than Rahul by 4 years. It their ages are in the ratio 7 : 9. then how old is
sachin?
सचिन राहुल से 4 वर्ष छोटा है, यदि उनकी आयु का अनुपात 7 : 9 है तो सचिन की आयु ज्ञात कीजिये?
(1) 14 years
(2) 18 years
(3) 25 years
(4) 21 years
(5) 30 years
Q. 7 . The marked price of an article is 30% higher than the cost price. If a trader sells the articles allowing 10% discount to the customer, then the gain percent will be:
किसी वस्तु की औसत कीमत उसके क्रय मूल्य से 30% अधिक है | यदि कोई व्यापारी उसे 10% की छूट दे कर बेचे तो उसका लाभ प्रतिशत बताइए ?
(1) 17
(2) 19
(3) 20
(4) 15
(5) None of these/इनमें से कोई नहीं
Q.8 A metal pipe is 21 cm long and its exterior diameter is 8cm. If the thickness of the pipe is 1 cm and 1 cm3 of metal weight 8 g. Then metal weight of the pipe (in kg) is (use π= 22/7)
एक धातु के पाइप की लम्बाई 21 सेमी और उसका वाह्य व्यास 8 सेमी. है। यदि पाइप की मोटाई 1 सेमी है और 1 सेमी.3 धातु का भार 8 ग्राम है तो धातु के पाइप का भार है। ( π= 22/7)
(1) 3.696
(2) 3.669
(3) 3.966
(4) 3.996
(5) None of these/ इनमें से कोई नहीं
Q.9 600 amount to Rs. 740 in 5 years at a certain rate of simple interest. If the rate of interest is increased by 3 % . what will be the amount then ?
600 रुपए की राशि 5 वर्षो में 740 हो जाती है यदि ब्याज की दर को 3 % बढ़ाया जाता है तो अब राशि ज्ञात कीजिये
(1) 800
(2) 856
(3) 930
(4) 830
(5) None of these/इनमे से कोई नहीं
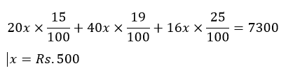
Q.10 A person bought 76 cows and sold 20 cows at 15% profit, 40 cows at 19% profit and remaining 16 cows at 25% and got a profit of Rs.7300 as a whole. Find the cost price of each cow?
एक आदमी 76 गाये खरीदता है 20 गायों को वो 15 % के लाभ पर बेचता है 40 गायो को 19 % के लाभ पर और बचे हुए 16 गायो को 25 % के लाभ पर और उसे 7300 का कुल लाभ होता है तो एक गाय का क्रय मूल्य ज्ञात कीजिये ?
(1) 450
(2) 480
(3) 420
(4) 500
(5) None of these
Answer Key
Q-(1) Sol-(4)
According to question,
Q-(2) Sol-(1)
Let the share of A be x.
B’s share is = 2.5x
And C’s share is = 7.5x
So according to question,
x+2.5x+7.5x=55000
11x=55000
x=5000
So B’s share is 2.5×5000 = 12500
Q-(3) Sol-(3)
Let present age of ram be x.
So Ram’s uncle age is = 30+x
5 year ago,
Ram age is x-5.
Ram’s uncle age is 25+x.
According to question,
Q-(4) Sol-(2)
Let the age of new boy be x.
So required age is,
Q-(5) Sol-(4)
Q-(6) Sol-(1)
Let the age of sachin be x years.
Rahul age will be = x + 4 years.
According to question,
Q-(7) Sol-(1)
Q-(8) Sol-(1)
External radius of pipe r2 = 4 cm
Internal radius = r1 = 4 - 1 = 3 cm.
volume of pipe = (r22 - r21) ×h.
= π (16 - 9) × 21 = 22/7 × 7 × 21 = 462 cu.cm.
Weight of pipe = volume × Density.
= 3.696 kg.
Q-(9) Sol-(4)
New amount = original amount + extra interest
Let cost price of each cow is Rs. x
According to question,

0 comments:
Post a Comment
MAHENDRA GURU