Mahendras has started special quizzes for IBPS & SBI Exam so that you can practice more and more to crack the examination. This IBPS & SBI Exam special quiz series will mold your preparations in the right direction and the regular practice of these quizzes will be really very helpful in scoring good marks in the Examination. Here we are providing you the important question of reasoning ability for the for the the IBPS & SBI Exam.
(1) A milkman buy some quantity of milk at Rs. 10 per liter and mix 5 liter of water in it. He sells the mixture at the rate of Rs 12 per liter and makes a profit of 50%. Find the quantity of mixture sold by milkman?
एक दूधवाला दूध की कुछ मात्र 10 रू प्रति लीटर की दर से खरीदता हैं और इस में 5 लीटर पानी मिला देता हैं |वह इस मिश्रण को 12 रू प्रति लीटर की दर से बेचता हैं और उसे 50% का लाभ होता हैं | ज्ञात कीजिये दूधवाले ने मिश्रण की कितनी मात्रा बेची?
(1) 20
(2) 22
(3) 25
(4) 28
(5) 30
(2) A man sold two articles each for Rs. 2500. If he get a profit of 20% on one article find the profit percent of second article so that he makes an overall profit of 50%?
एक व्यक्ति दो वस्तु में प्रत्येक वस्तु को 2500 रू में बेचता हैं | यदि वह एक वस्तु को 20% लाभ पर बेचे तो दूसरी वस्तु को कितने प्रतिशत लाभ पर बेचने से उसे कुल लाभ 50% का होगा ?
(1) 75
(2) 80
(3) 90
(4) 100
(5) 110
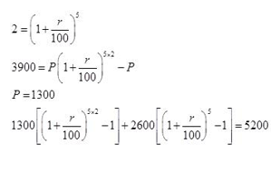
(3) Amount invested by Alok double itself in 5 years at compound interest. Alok earn 3900 as interest in 10 years. If Alok doubles his investment after 5 years, then find the compound interest now Alok will receive at the end of 10 years?
अलोक द्वारा निवेश धनराशि 5 वर्ष में दुगनी हो जाती हैं | अलोक को 10 वर्ष के अंत में प्राप्त ब्याज 3900 रू हैं | यदि अलोक 5 वर्ष के बाद अपनी निवेश धनराशि को दुगना कर दे तो अलोक के द्वार 10 वर्ष के अंत में प्राप्त चक्रवृद्धि ब्याज ज्ञात कीजिये?
(1) 5000
(2) 5100
(3) 5200
(4) 5300
(5) 5400
(4) In a group of student 22 like Maths, 25 like Science and 17 like English. 7 students like only Science and English, 8 student like only Maths and Science, 6 student like only Maths and English. 2 student like all the three subject. Find the number of student in the group?
एक छात्रों के समहू में 22 छात्र गणित को पसंद करते हैं , 25 छात्र विज्ञान को पसंद करते हैं और अंग्रजी को पसंद करते हैं | 7 छात्र केवल विज्ञान और अंग्रजी को पसंद करते हैं , 8 छात्र केवल गणित और विज्ञान को पसंद करते हैं , 6 छात्र केवल गणित और अंग्रजी को पसंद करते हैं एवं 2 छात्र सभी विषयों को पसंद करते हैं |ज्ञात कीजिये समहू में कुल कितने छात्र हैं ?
(1) 60
(2) 55
(3) 50
(4) 45
(5) Data inadequate
(5) A box contain 5 Red, 4 Blue and 6 Green balls, 3 balls pick randomly from the box. Find the probability that all the three balls are not of same color?
एक बॉक्स में 5 लाल , 4 नीली और 6 हरी गेंद हैं , बॉक्स में से 3 गेंद यादृच्छया निकली गयी | प्रायिकता ज्ञात कीजिये तीनो गेंदे समान रंग की न हो ?
(1) 11/129
(2) 421/455
(3) 420/453
(4) 1/7
(5) 5/18
(6) A boat goes 60 km downstream in 6 hours to reach the destination. The boat will take total 21 hour if it has to go back to the starting point and come back to the destination. Find the speed of boat in still water? (in km/hr)
एक नाव धारा के साथ 60 किमी जाकर एक निर्धारित स्थान पर 6 घंटे में पहूँचती हैं | नाव को वापस प्रारंभिक स्थान पर जा कर वापस निर्धारित स्थान पर पहुचने में 21 घंटे लगते हैं | नाव की चाल शांत जल में ?
(1) 5
(2) 6
(3) 7
(4) 8
(5) 9
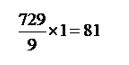
(7) 729 ml of combination has coffee and water in the ratio 7 : 2. How much more water to be included to get a new combination of coffee and water in the ratio 7 : 3?
729 मी.ली कॉफ़ी और पानी के मिश्रण में इनका अनुपात 7 : 2 हैं |इसमें कितना पानी और मिलाया जाये ताकि कॉफ़ी और पानीं का अनुपात 7 : 3 हो जाए?
(1) 72
(2) 78
(3) 80
(4) 81
(5) 90
(8) A train start 16 minute late from its destination if it travel with 10 km/hr faster than its normal speed then it will be on time at a distance of 80 km. Find the actual speed of the train?
एक रेल अपने निर्धारित स्थान से 16 मिनट देरी से चलती हैं, यदि वह 10 किमी/घंटे की चाल से तेज़ चले तो 80 किमी की दूरी के बाद ये सही समय पर हो जाती हैं | ट्रेन की वास्तविक चाल ज्ञात कीजिये ?
(1) 45
(2) 48
(3) 50
(4) 51
(5) 52
(9) The difference between the compound interest and simple interest for third year is Rs 125 and the difference for these in second year is Rs 50. Find the rate of interest?
तीसरे वर्ष के चक्रवृद्धि ब्याज और साधारण ब्याज का अंतर 125 रू है और इनका दूसरे वर्ष का अंतर 50 रू हैं | ब्याज दर ज्ञात कीजिये?
(1) 25%
(2) 33.33%
(3) 40%
(4) 50%
(5) 60%
(10) Arun and Naimish can do a piece of work in 9 days. Arun alone can do this work in 12 days. They started the work together but after some days Arun left the work and Naimish work for last 4 days alone. Find after how many days Arun left the work?
अरूण और नैमिष किसी कार्य को 9 दिन में पूरा कर सकते हैं और अरूण यह कार्य अकेले 12 दिन में कर सकता हैं। वे एक साथ कार्य प्रारम्भ करते हैं। लेकिन कुछ दिनों के बाद अरूण कार्य छोड़ देता है और अन्तिम 4 दिन नैमिष अकेले कार्य करता है। ज्ञात कीजिए कि अरूण ने कितने दिन पश्चात् कार्य छोड़ा था?
(1) 6
(2) 8
(3) 10
(4) 12
(5) Data inadequate
Answer Key-
Q-(1) Sol-(3)
Q-(2) Sol-(4)
Q-(3) Sol-(3)
Data inadequate
Q-(5) Sol-(2)
Q-(6) Sol-(3)
21-6 = 15 hr
U = 60/15=4 km/hr
D = 60/ 6 = 10km/hr
B = (10+4)/2= 7 km/hr
Q-(7) Sol-(4)
Q-(8) Sol-(3)
Q-(9) Sol-(4)

0 comments:
Post a Comment
MAHENDRA GURU