Mahendras has started special quizzes for IBPS & SBI Exam so that you can practice more and more to crack the examination. This IBPS & SBI Exam special quiz series will mold your preparations in the right direction and the regular practice of these quizzes will be really very helpful in scoring good marks in the Examination. Here we are providing you the important question of reasoning ability for the for the the IBPS & SBI Exam.
(1) The sum of the digits of a two digit number is 81 less than the number .The sum of the digits of the number is 18. What is the difference between the digits of the number?
एक द्विअंकीय संख्या के अंको का योग संख्या से 81 कम है। संख्या के अंकों का योग 18 है | तो संख्या के अंकों का अंतर क्या है?
(1) 6
(2) 3
(3) 5
(4) 1
(5) 0
(2) The ratio of monthly income of Anuradha and Bani is 3 :5.If income of each is increased by Rs 160, this ratio becomes 25 : 41.What is the Anuradha's monthly income before increment?
अनुराधा और बानी की मासिक आय का अुनपात 3 : 5 है। प्रत्येक की आय में 160 रू. की वृद्धि किये जाने पर यह अनुपात 25 : 41 हो जाता है। वृद्धि से पहले अनुराधा की मासिक आय क्या थी?
(1) Rs.3840
(2) Rs.9000
(3) Rs 2720
(4) Rs 1570
(5) Rs 2570
(3) A 200 m long train moving at the speed of 30 m/sec. crosses another 240 m long train coming from opposite direction in 12 seconds.What is the speed of second train?
200 मी. लम्बी तथा 30 मी/से. की चाल से चलती हुई एक रेलगाड़ी विपरीत दिशा से आती हुई 240 मीटर लम्बी दूसरी रेलगाड़ी को 12 सेकण्ड में पार करती है। दूसरी रेलगाड़ी की चाल क्या है?
(1) 10 m/s.
(2) 12 m/s.
(3) 15 m/s.
(4) 18 m/s.
(5) 20 m/s.
(4) A got (3/8) of the total money and his partner B got (3/8) of the remaining amount. If the difference between both the parts is Rs. 36 then what was the total amount?
A को कुल धन का (3/8) भाग मिला तथा उसके साझीदार B को शेष धन का (3/8) भाग मिला | यदि दोनों के भागों का अन्तर रु.36 है तो कुल धन था ?
(1) Rs.236
(2) Rs.272
(3) Rs.240
(4) Rs.256
(5) Rs.250
(5) An article sells at 20% profit in place of 10% loss then a man obtain Rs.3000 more. What is the cost price of the article?
एक वस्तु 10% हानि की जगह 20% लाभ पर बेचा जाता तो एक व्यक्ति को रु.3000 अधिक मिलते हैं | वस्तु का क्रय मूल्य ज्ञात कीजिये |
(1) Rs.10000
(2) Rs.2000
(3) Rs.4000
(4) Rs.8000
(5) Rs.6000
(6) A shopkeeper sold his goods at 20% profit. If he had bought it at 10% more and sold it for Rs. 14 more, he would have gained 25%. Find the cost price of goods.
एक दुकानदार ने अपना माल 20% लाभ पर बेच दिया। यदि उसने इसे 10% अधिक पर खरीदा होता और 14 रू. अधिक में बेचा होता, तो उसे 25% का फायदा हुआ होता। वस्तु का लागत मूल्य ज्ञात कीजिये।
(1) Rs. 40
(2) Rs. 60
(3) Rs. 80
(4) Rs. 90
(5) Rs. 100
Q-(7-10) What will come in place of question mark (?) in the following questions?
निम्नलिखित प्रश्नों में प्रश्नवाचक चिन्ह (?) के स्थान पर क्या मान आयेगा?
(7) 15% of 578 + 22.5% of 644 = ?
(1) 231.4
(2) 233.6
(3) 231.8
(4) 231.6
(5) None of these
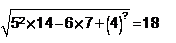
(8)
(1) 1
(2) 2
(3) 4
(4) 7
(5) None of these
(9) 23 × 15 – 60 + ? ÷ 31 = 292
(1) 218
(2) 186
(3) 217
(4) 201
(5) None of these
(10) 962+ ? = (109)2 + 162
(1) 2881
(2) 2731
(3) 2921
(4) 2871
(5) 2714
Answer Key-
Q-(1) Sol-(5)
According to the question,
x + y = 18 ....(I)
10x + y -(x + y) = 81 .....(II)
10x + y - x -y = 81
9x = 81
x = 9
From equation (i), we get
9 + y = 18
y = 9
Difference between the digits = 9 - 9 = 0
Q-(2) Sol-(1)
Q-(4) Sol-(4)
Let total amount be Rs.x
Money obtained by A = (3/8) of x = Rs.(3x/8)
Remaining amount = x - (3x/8)
= (5x/8)
Money obtained by B = (3/8) of (5x/8) = Rs.(15x/64)
(3x/8) - (15x/64) = 36
(24x - 15x)/64 = 36
9x/64 = 36
x = Rs.256
Q-(5) Sol-(1)
Q-(6) Sol-(3)
Let the cost price = Rs. 100
S.P. at 20% profit = Rs. 120, C.P. on 10% more = Rs. 110
? = 231.6
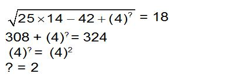
Q-(8) Sol-(2)
?÷31=292-285
?=7×31=217
Q-(10) Sol-(3)
9216 + ? = 11881 + 256
? = 11881 + 256 - 9216
? = 12137 - 9216
? = 2921

0 comments:
Post a Comment
MAHENDRA GURU