mahendras

| Join Mahendras Telegram Channel | Like Mahendras Facebook Page | Online Admission | Download Mahendras App

Now Subscribe for Free videos

Subscribe Now

SSC CGL & MTS Quiz : Quantitative Aptitude | 02-05-2021

Swati Mahendra's




Dear Readers,

As SSC CGL & MTS notification is out and candidates have started their preparation for this exam. Mahendras also has started special quizzes for this examination. This series of quizzes are based on the latest pattern of the SSC CGL & MTS  examination. Regular practice of the questions included in the quizzes will boost up your preparations and it will be very helpful in scoring good marks in the examination.

(1) N solid metallic spherical balls are melted and recast into a cylinder rod Whose radius is 3 times that of a spherical ball and height is 4 times the radius of a spherical ball. The value of N is?

N ठोस धातु गोलाकार गेंदों को पिघला कर बेलनाकार छड़ी में फिर से ढाला जाता है जिसका त्रिज्या गोलाकार गेंद का 3 गुना होता है और ऊंचाई गोलाकार गेंद के त्रिज्या से 4 गुना होती है। N का मूल्य है?

(A) 30

(B) 27

(C) 24

(D) 36


(2) If x is the remainderwhen is divisible by 5 and Y is the remainder when is divided by 6, Then what is the value of ( 2x – y)?

यदि X शेष है जब, 5 से विभाज्य है और Y शेष है जब,6 से विभाजित है, तो (2x - y) का मान क्या है?

(A) – 4

(B) 4

(C) – 2

(D) 2


(3) What is the area (in square units ) of the triangular region by the graph of region enclosed by the equations x + y = 3 , 2x + 5y = 12 and the x-axis?

समीकरणों x + y = 3, 2x + 5y = 12 और एक्स- अक्ष से घिरे क्षेत्र के ग्राफ द्वारा त्रिकोणीय क्षेत्र का क्षेत्रफल (वर्ग इकाइयों में) क्या है?

(A) 2

(B) 3

(C) 4

(D) 6

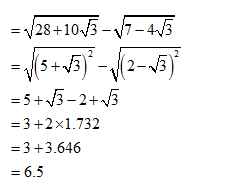
(4) The value ofis closest to ?

का मान निकटतम है ?

(A) 7.2

(B) 6.1

(C) 6.5

(D) 5.8

(5) If

यदि





(6) The value ofis?

का मान क्या है ?

(A) 2

(B) 0

(C) 1

(D) 1/2



(7) 35% of goods were sold at a profit of 65%, while the remaining were sold at x% loss. If the overall loss. If the overall loss is 12%, then what is the value of x? (Correct one decimal place)

35 % माल 65 % के मुनाफे पर बेचा गया, जबकि शेष को x % हानि में बेचा गया। यदि समग्र नुकसान। यदि समग्र हानि 12% है, तो x का मान क्या है? (एक दशमलव स्थान को सही करें)

(A) 51.8

(B) 50.6

(C) 53.5

(D) 52.4

(8) In a circle with center O, ABCD is a cyclic quadrilateral and AC is the diameter. Chords AB and CD are produced to meet at E. If ∠CAE = 34o and ∠E = 30o , then ∠CAD is equal to?

केंद्र O वाले एक वृत्त में, ABCD एक चक्रीय चतुर्भुज है और AC व्यास है। जीवा AB और CD को E पर मिलने के लिए आगे बढ़ाया जाता है। यदि ∠CAE = 34o और ∠E = 30o है, तो ∠CAD बराबर है?

(A) 36o

(B) 26 o

(C) 24 o

(D) 34 o

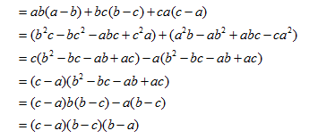
(9)is equal to ?

के बराबर है?

(A) (a +b) (b – c)(c – a)

(B) (a – b) (b + c)(c – a)

(C) (a – b) (b – c)(c – a)

(D) (a – b) (b – c)(c – a)

(10) If. Then find the value of

?

(A) 35/12

(B) 29/3

(C) 35/6

(D) 29/6

Answer Key-

Q-(1) Sol. (B)




Q-(2) Sol. (B)

Solving by remainder theorem,

शेष सिद्धांत द्वारा हल करने पर,

x = 1, y = 4

=2– 4

= – 2

Q-(3) Sol. (B)



Q-(4) Sol. (C)



Q-(5) Sol. (B)



Q-(6) Sol. (D)



Q-(7) Sol. (D)



Q-(8) Sol. (B)



Q-(9) Sol. (A)



Q-(10) Sol. (C)




0 comments:

Post a Comment

MAHENDRA GURU

Copyright © 2025 www.mahendraguru.com All Right Reserved by Mahendra Educational Pvt . Ltd.