Dear Readers,
As SSC CGL & MTS notification is out and candidates have started their preparation for this exam. Mahendras also has started special quizzes for this examination. This series of quizzes are based on the latest pattern of the SSC CGL & MTS examination. Regular practice of the questions included in the quizzes will boost up your preparations and it will be very helpful in scoring good marks in the examination.
(1) Kiran sold an item for Rs. 8160 and incured a loss of 15%. At what price should she have sold the item to have gained of a profit of 25%?
किरन एक वस्तु रू. 8160 में बेचती है और 15% हानि उठाती है। उसे उस वस्तु को किस मूल्य पर बेचना चाहिए जिससे कि वह 25% लाभ प्राप्त करे।
(A) Rs. 12200
(B) Rs. 12300
(C) Rs. 13000
(D) Rs. 12000
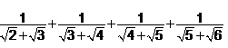
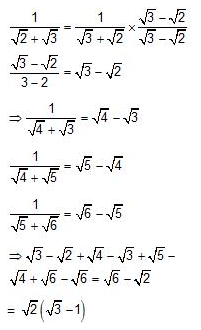
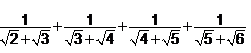
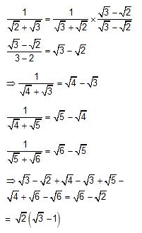
(2) The simplest value of
(3) A rectangular garden is 120 m × 80m. There is a path along the garden and just outside it. Width of the path is 12m. The area of the path is-
एक आयताकार बगीचा 120 मी. × 80 मी. का है। उसके बाहर, उसके साथ बना एक रास्ता भी है। उस रास्ते की चौड़ाई 12 मी. है। तद्नुसार, उस रास्ते का क्षेत्रफल कितना है?
(A) 3972 m2
(B) 4804 m2
(C) 4972 m2
(D) 5376 m2
(4) If the distance between two points (0, –5) and (x,0) is 13 unit, then x equals to –
यदि दो बिन्दुओं (0, –5) और )x,0) के बीच की दूरी 13 इकाई हो, तो x किसके बराबर होगा?
(A) 10
(B) 8
(C) 15
(D) 12
(5) A ship is moving at a speed of 30 km/h. To know depth of the ocean beneath it, it sends a radio wave which travels at a speed 200 m/s. The ship receives the signal after It has moved 500 m. Tire depth of the ocean is-
एक जहाज 30 किमी./घं. की गति से चल रहा है। यह जानने के लिए कि उसके नीचे का समुद्र कितना गहरा है, उससे एक रेडियो तरंग प्रसारित की जाती है, जो 200 मी./से. की गति से चलती है। तब जहाज को उसका सिग्नल 500 मीटर की दूरी तय कर लेने के बाद मिल पाता है। तदनुसार समुद्र की गहराई कितनी है?
(A) 6 km.
(B) 12 km.
एक आयताकार बगीचा 120 मी. × 80 मी. का है। उसके बाहर, उसके साथ बना एक रास्ता भी है। उस रास्ते की चौड़ाई 12 मी. है। तद्नुसार, उस रास्ते का क्षेत्रफल कितना है?
(A) 3972 m2
(B) 4804 m2
(C) 4972 m2
(D) 5376 m2
(4) If the distance between two points (0, –5) and (x,0) is 13 unit, then x equals to –
यदि दो बिन्दुओं (0, –5) और )x,0) के बीच की दूरी 13 इकाई हो, तो x किसके बराबर होगा?
(A) 10
(B) 8
(C) 15
(D) 12
(5) A ship is moving at a speed of 30 km/h. To know depth of the ocean beneath it, it sends a radio wave which travels at a speed 200 m/s. The ship receives the signal after It has moved 500 m. Tire depth of the ocean is-
एक जहाज 30 किमी./घं. की गति से चल रहा है। यह जानने के लिए कि उसके नीचे का समुद्र कितना गहरा है, उससे एक रेडियो तरंग प्रसारित की जाती है, जो 200 मी./से. की गति से चलती है। तब जहाज को उसका सिग्नल 500 मीटर की दूरी तय कर लेने के बाद मिल पाता है। तदनुसार समुद्र की गहराई कितनी है?
(A) 6 km.
(B) 12 km.
(6) A person takes a loan of Rs. 40000 partly from a bank at 10% p.a. and remaining from another bank at 12% p.a. He pays total interest of ` 4440 per annum. Amount of loan taken from the first bank (in Rs.) is-
एक व्यक्ति रू. 40000 का ऋण लेता है। उसका एक भाग वह 10% वार्षिक की दर पर एक बैंक से लेता है और 12% वार्षिक दर पर दूसरे बैंक से लेता है। अनंतर वह कुल ब्याज के रूप में रू. 4440 वार्षिक का भुगतान करता है। तद्नुसार उसका पहले बैंक से लिया गया ऋण कितने रू. था?
(A) Rs. 22000
(B) Rs. 20000
(C) Rs. 18000
(D) Rs. 16000
(7) If 16x = 48y, then what is the value of
?
यदि 16x = 48y, तो
का मान क्या है?
एक व्यक्ति रू. 40000 का ऋण लेता है। उसका एक भाग वह 10% वार्षिक की दर पर एक बैंक से लेता है और 12% वार्षिक दर पर दूसरे बैंक से लेता है। अनंतर वह कुल ब्याज के रूप में रू. 4440 वार्षिक का भुगतान करता है। तद्नुसार उसका पहले बैंक से लिया गया ऋण कितने रू. था?
(A) Rs. 22000
(B) Rs. 20000
(C) Rs. 18000
(D) Rs. 16000
(7) If 16x = 48y, then what is the value of
यदि 16x = 48y, तो
(A) 1
(B) 2
(C) 5/3
(D) 7/3
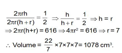
(8) The ratio between the curved surface area and the total surface area of right circular cylinder is 1 : 2. If the total surface area is 616 cm2 , the volume of cylinder is-
एक लंब वृत्तीय बेलन के वक्र पृष्ठीय क्षेत्रफल और कुल पृष्ठीय क्षेत्रफल का अनुपात 1 : 2 है। यदि कृल पृष्ठीय क्षेत्रफल 616 सेमी2 है तो बेलन का आयतन क्या है?
(A) 1232 cm2
(B) 1078 cm2
(C) 1848 cm2
(D) 1456 cm2
(9) The material of cone is converted in to the shape of a cylinder of equal radius. If height of the cylinder is 9 cm, the height of the cone is-
एक शंकु के पदार्थ को, एक बराबर त्रिज्या वाले बेलन में बदला जाता है। यदि बेलन की ऊँचाई 9 सेमी है, तो शंकु की ऊँचाई है-
(A) 3 cm
(B) 9 cm
(C) 15 cm
(D) 27 cm
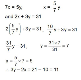
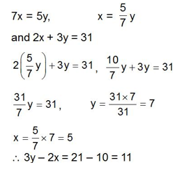
(10) If 2x+3y = 31 and 7x = 5y, then what is the value of 3y - 2x?
यदि 2x+3y = 31 और 7x = 5y है तो 3y - 2x का मान क्या है?
(A) 5
(B) 7
(C) 9
(D) 11
Answer Key-
Q-(1) Sol-(D)
Q-(9) Sol-(D)
Let the radius of cone be R and height be H. The radius of cylinder is R and its height is 9 cm.

0 comments:
Post a Comment
MAHENDRA GURU