Dear Readers,
As SSC CGL & MTS notification is out and candidates have started their preparation for this exam. Mahendras also has started special quizzes for this examination. This series of quizzes are based on the latest pattern of the SSC CGL & MTS examination. Regular practice of the questions included in the quizzes will boost up your preparations and it will be very helpful in scoring good marks in the examination.
(1) A double bed is marked at Rs. 7500. The shopkeeper allows successive discounts of 8%, 5% and 2% on it. What is the Net selling price?
एक डबलबेड की कीमत 7500 रू. चिन्हित की गई है। दुकानदार उस पर 8%, 5% और 2% की आनुक्रमिक छूट देता है। निवल बिक्री कीमत बताएं।
(A) 6234.56
(B) 6423.90
(C) 6500
(D) 6543.78
(2) X purchased an item at a discount of 10% and sold it to Y at 10% profit. The marked price and the price for which Y purchased the item are in ratio.
X ने कोई मद 10% छूट पर खरीदी और Y को 10% लाभ पर बेच दी। अंकित कीमत और उस कीमत जिस पर Y ने मद खरीदी का अनुपात क्या होगा?
(A) 99 : 100
(B) 100 : 99
(C) 101 : 100
(D) 100 : 101
(3) A man engaged a servant on the condition that he would pay him Rs. 90 and a turban after service of one year. He served only for nine months and received the turban and an amount of Rs. 65. The price of turban is
एक व्यक्ति ने एक सेवक को इस शर्त पर रखा कि वह एक वर्ष की सेवा के पश्चात उसे 90 रू. और एक पगड़ी देगा। सेवक ने केवल 9 महीने काम किया और उसे पगड़ी और 65 रू. की राशि प्राप्त हुई। पगड़ी की कीमत बताएं।
(A) 50
(B) 20
(C) 10
(D) 25
(4) If diagonals of a rhombus are 24 cm. and 32 cm., then perimeter of that rhombus is -
यदि किसी समचतुर्भुज के विकर्ण 24 सेमी. और 32 सेमी. है तो उस समचतुर्भुज का परिमाप बताएं।
(A) 80 cm
(B) 60 cm
(C) 64 cm
(D) 72 cm
(5) The inradius of an equilateral triangle is √3 cm., then the perimeter of that triangle is -
यदि किसी समभुज त्रिकोण की आन्तरिक त्रिज्या √3 सेमी. है तो उस त्रिकोण का परिमाप बताएं।
(A) 36
(B) 27
(C) 21
(D) 18
(6) Let A, B, C, D be the angles of a quadrilateral. If they are concyclic, then the value of cos A + cos B + cos C + cos D is -
A, B, C, D चतुर्भुज के कोण है। यदि वे एक वृत्तीय हो तो cos A + cos B + cos C + cos D का मान बताएं।
(A) 0
(B) 1
(C) 2
(D) – 1
(7) If / यदि tan , then find the value of /तो
का मान ज्ञात कीजिये?
(A) 1/21
(B) 2/21
(C) 4/21
(D) 8/21
(8) The digit in unit's place of the product 49237 × 3995 × 738 × 83 × 9 is
49237 × 3995 × 738 × 83 × 9 के गुणनफल का इकाई के स्थान का अंक बताएं।
(A) 0
(B) 1
(C) 2
(D) 3
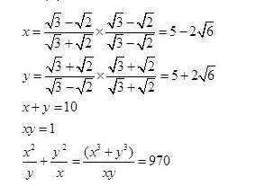
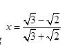
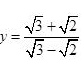
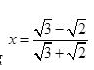
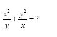
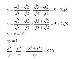
(9) If / यदिand / और
then / तो
(A) 990
(B) 970
(C) 1000
(D) 1100
(10) If the common factor of y2+by+c and y2 + my + n is (y + a), then the value of a is?
यदि y2+by+c और y2 + my + n का उभयनिष्ठ गुणनफल (y + a) हैं, तो a का मान ज्ञात कीजिये ?
Answer Key-
Q-(1) Sol-(B)

0 comments:
Post a Comment
MAHENDRA GURU