Dear Readers,
As SSC CGL & MTS notification is out and candidates have started their preparation for this exam. Mahendras also has started special quizzes for this examination. This series of quizzes are based on the latest pattern of the SSC CGL & MTS examination. Regular practice of the questions included in the quizzes will boost up your preparations and it will be very helpful in scoring good marks in the examination.
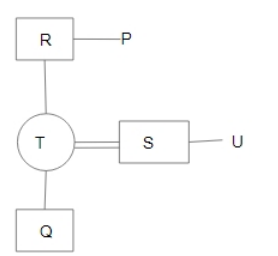
A+B means 'B is the brother of A';
A-B means 'A is the mother of B';
AⓇB means 'A is the father of B';
A=B means 'A is the son of B'.
If, P + R ⓇT – Q = S + U, then how is S related to R?
1. Son-in-law
2. Grandson
3. Grandfather
4. Brother
निम्नलिखित जानकारी का ध्यानपूर्वक अध्ययन करें और नीचे दिए गए प्रश्न का उत्तर दें।
A + B का अर्थ है 'B, A का भाई है';
A-B का अर्थ है 'A, B की माँ है';
AⓇB का अर्थ है 'A, B का पिता है';
A=B का अर्थ है 'A, B का पुत्र है'।
यदि, P + R Ⓡ T - Q = S + U, तो S, R से कैसे संबंधित है?
1. दामाद
2. ग्रैंडसन
3. ग्रैंडफादर
4. भाई
Q.2. Select the figure that can replace the question mark (?) in the following series.
निम्नलिखित श्रृंखला में प्रश्न चिह्न (?) की जगह ले सकने वाली आकृति का चयन करें।
Q.3. Select the option that is related to the third number in the same way as the second number is related to the first number.
उस विकल्प का चयन करें जो तीसरी संख्या से उसी तरह से संबंधित है जैसे दूसरी संख्या पहले संख्या से संबंधित है।
2809 : 53 :: 1504 : ?
1. 32
2. 31
3. 33
4.35
Q.4. Select the correct mirror image of the given figure when a mirror is placed on the right of the figure.
दिए गए आकृति की सही दर्पण छवि का चयन करें जब एक दर्पण आकृति के दाईं ओर रखा जाता है।
Q.5. Eight words have been given, out of which seven are alike in some manner and one is different. Select the odd word.
Monitor, Headphones, Mouse, Keyboard, Windows, Printer, Scanner, Speaker
1. Printer
2. Windows
3. Monitor
4. Mouse
आठ शब्द दिए गए हैं, जिनमें से सात किसी तरह से समान हैं और एक अलग है। विषम शब्द का चयन करें।
मॉनिटर, हेडफोन, माउस, कीबोर्ड, विंडोज, प्रिंटर, स्कैनर, स्पीकर
1. प्रिंटर
2. विंडोज
3. मॉनिटर
4. माउस
Q.6. Select the option figure in which the given figure is embedded (rotation is not allowed).
उन विकल्प आकृति का चयन करें जिसमें दी गई आकृति एम्बेडेड सन्निहित है (रोटेशन की अनुमति नहीं है)।
Q.7. 'Cardiologist' is related to 'Heart' in the same way as 'Neurologist is related to _______.
1. Ears
2. Brain
3. Lungs
4. Teeth
'कार्डियोलॉजिस्ट' 'हृदय' से उसी तरह संबंधित है जैसे 'न्यूरोलॉजिस्ट' _______ से संबंधित है।
1. कान
2. मस्तिष्क
3. फेफड़े
4. दाँत
Q.8. Four number-pairs have been given, out of which three are alike in some manner and one is different. Select the number-pair that is different from the rest.
चार संख्या-जोड़े दिए गए हैं, जिनमें से तीन किसी तरह से एक समान हैं और एक अलग है। उस संख्या-जोड़ी का चयन करें जो बाकी से अलग है।
1. 39-72
2. 57-38
3. 42-36
4. 28-60
Q.9. In an exam of 80 questions, a correct answer is given +1 mark, a wrong answer is given -1 mark, and if a question is not attempted there are zero marks. If a student attempted only 80% of the questions and got 32 marks, then how many questions did he answer correctly?
80 प्रश्नों की परीक्षा में, एक सही उत्तर को +1 अंक दिया जाता है, एक गलत उत्तर को -1 अंक दिया जाता है, और यदि एक प्रश्न का प्रयास नहीं किया जाता है तो शून्य अंक होते हैं। यदि किसी छात्र ने केवल 80% प्रश्नों का प्रयास किया और 32 अंक प्राप्त किए, तो उसने कितने प्रश्नों के सही उत्तर दिए?
1. 48
2. 16
3. 56
4. 32
Q.10. Select the letter that can replace the question mark (?) in the following series.
निम्नलिखित श्रृंखला में प्रश्नवाचक चिन्ह (?) को प्रतिस्थापित कर सकने वाले अक्षर का चयन करें।
J, M, P, ?, V, Y
1 R
2. T
3. O
4. S
ANSWER-
Q.1. 1
Q.2. 4
The figure rotate 180 degree in each step.
आकृति प्रत्येक चरण में 180 डिग्री घूमती है।
Q.3. 1
Q.4. 1
Q.5. 2
Except windows remaining all are hardware.
विंडोज़ को छोड़कर शेष सभी हार्डवेयर हैं।
Q.6. 4
Q.7. 2
‘Cardiologist deals with the disorders of the heart. Similarly, ‘Neurologist’ deals with the disorders of the brain.
'हृदय रोग विशेषज्ञ', हृदय के विकारों से निपटते हैं। इसी तरह, 'न्यूरोलॉजिस्ट' मस्तिष्क के विकारों से संबंधित है।
Q.8. 2

0 comments:
Post a Comment
MAHENDRA GURU