Mahendras has started special quizzes for IBPS & SBI Exam so that you can practice more and more to crack the examination. This IBPS & SBI Exam special quiz series will mold your preparations in the right direction and the regular practice of these quizzes will be really very helpful in scoring good marks in the Examination. Here we are providing you the important question of reasoning ability for the for the the IBPS & SBI Exam.
Q-(1–3) In each of the following questions, two equations numbered I and II are given. You have to solve them and state the correct relationship-
निम्नलिखित प्रश्नों में दो समीकरण (I) और (II) दिये गये है दोनों समीकरण हल कीजिए और सही सम्बन्ध स्थापित कीजिये-
Q-1 (I) 4x2 – 7x + 3 = 0
(II) y2 – 2y + 1 = 0
(1) x > y
(2) x > y
(3) x < y
(4) x < y
(5) x=y or relationship can not be established / x=y या सम्बन्ध स्थापित नहीं किया जा सकता है
Q-2 (I) 6x2 + 25x + 21 = 0
(II) 3y2 – 16y +21 = 0
(1) x > y
(2) x > y
(3) x < y
(4) x < y
(5) x=y or relationship can not be established / x=y या सम्बन्ध स्थापित नहीं किया जा सकता है
Q-3 (I) 15x2 + 68x + 77 = 0
(II) 3y2 + 29y + 68 = 0
(1) x > y
(2) x > y
(3) x < y
(4) x < y
(5) x=y or relationship can not be established / x=y या सम्बन्ध स्थापित नहीं किया जा सकता है
Q-4 What is the least number to be added to 4000 to make it a perfect square?
संख्या 4000 को पूर्ण वर्ग बनाने के लिए इसमें कौन सी न्यूनतम संख्या जोड़ी जानी चाहिए ?
(1) 90
(2) 96
(3) 116
(4) 81
(5) None of these/इनमें से कोई नहीं
Q-5 What would be the compound interest obtained on an amount of Rs. 84500 at the rate of 10 p.c.p.c after 3 years?
84500 रू. की धनराशि पर 10% वार्षिक ब्याज की दर से 3 वर्षो के लिए चक्रवृद्धि ब्याज क्या होगा?
(1) 24885.25
(2) 28520.75
(3) 29769.50
(4) 27969.50
(5) None of these/इनमें से कोई नहीं
Q-(6-8) Read the following data and answer the questions asked-
नीचे दी गयी जानकारी को ध्यानपूर्वक पढ़े और पूछे गए प्रश्नों का उत्तर दीजिये-
Q-6 The total number of people surveyed from Lucknow is approximately what percent of the total number of people served from Pune?
लखनऊ में सर्वेक्षण हुए लोग पुणे में सर्वेक्षण हुए लोगो का लगभग कितना प्रतिशत है ?
(1) 95%
(2) 83%
(3) 76%
(4) 112%
(5) 133 %
Q-7 What is the difference between men from Delhi and women from Mumbai?
दिल्ली से पुरुषों और मुंबई से महिलाओं में क्या अंतर है?
(1) 715
(2) 968
(3) 844
(4) 913
(5) None of these/इनमें से कोई नहीं
Q-8 Find the ratio of women surveyed from Chennai to the women surveyed from Pune?
चेन्नई से सर्वेक्षण में शामिल हुई महिलो की संख्या तथा पुणे से सर्वेक्षण हुई महिलो की संख्या का अनुपात क्या है ?
(1) 3/11
(2) 501:412
(3) 3010:4213
(4) 1505:2028
(5) None of these/इनमें से कोई नहीं
Q-9 What would be the area of a circle whose diameter is 84 cm.?
उस वृत्त का क्षेत्रफल क्या होगा जिसका व्यास 84 सेमी.है?
(1) 5544
(2) 5444
(3) 4555
(4) 4554
(5) None of these/इनमें से कोई नहीं
Q-10 Find the average of the following set of scores-
847 921 148 368 760 764
निम्न स्कोरों का औसत ज्ञात कीजिए-
847 921 148 368 760 764
(1) 625.16
(2) 643.5
(3) 613.33
(4) 634.67
(5) 672.33
ANSWER KEY:-
Q.1. Sol-(4) (I) 4x2 - 4x - 3x + 3 = 0
4x (x-1)-3 (x-1) = 0
x = 1, x = 3/4
(II) (y-1)2 = 0
y = 1, 1
y > x
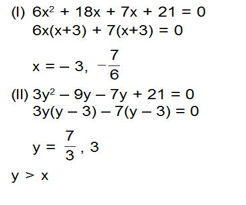
Q.2. Sol-(3)
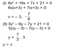
Q.3. Sol-(1)
Q.7. Sol-(2)
Q.9. Sol-(1)

0 comments:
Post a Comment
MAHENDRA GURU