Mahendras has started special quizzes for IBPS & SBI Exam so that you can practice more and more to crack the examination. This IBPS & SBI Exam special quiz series will mold your preparations in the right direction and the regular practice of these quizzes will be really very helpful in scoring good marks in the Examination. Here we are providing you the important question of reasoning ability for the for the the IBPS & SBI Exam.
Q-(1-5) In each of the following question, a question is followed by information given in two statement named as Quantity-I(Q1) and Quantity –II (Q2). You have to study the information along with the question and compare the value derived from Quantity-I and Quantity-II. Then answer -
निम्नलिखित प्रश्नों में प्रत्येक प्रश्न के लिए कुछ सूचना एवं दो कथन परिमाण- I(Q1) और परिमाण- II (Q2) में दी गयी हैं। आप प्रश्न सहित सूचना का अध्ययन कर परिमाण- I और परिमाण- II से प्राप्त मानों की तुलना कीजिये और उत्तर दीजिये -
(1) Find the profit percent of shopkeeper-
Q1-Ratio of MP and CP is 5:3 and he offers a discount of 20% on cash payment.
Q2-Shopkeeper purchased some apples at rate of 45 Rs/dozen and sold all at rate of 5 Rs/banana.
दुकानदार का लाभ प्रतिशत ज्ञात कीजिये -
Q1-अंकित मूल्य तथा क्रय मूल्य का अनुपात 5: 3 है और वह नकद भुगतान पर 20% की छूट प्रदान करता है ।
Q2-दुकानदार ने कुछ सेब 45 रुपये / दर्जन की दर से खरीदा और सभी को 5 रुपये / केरल की दर से बेच दिया ।
(1) Q1 > Q2
(2) Q1> Q2
(3) Q1 < Q2
(4) Q1 < Q2
(5) Q1 = Q2
(2) Find the time taken by Aarti to complete the work-
Q1- Aarti working with Neha who is 20% more efficient more efficient than her completes the whole work in 12 days.
Q2- Aarti cmplets 40% work working with 60% efficiency in 20 days.
आरती के द्वारा कार्य को करने में लिया गया समय ज्ञात कीजिये -
Q1-आरती नेहा के साथ कार्य करते हुए जोकि उससे 20% अधिक कुशल है पूरे कार्य को 12 दिनों में समाप्त करती है ।
Q2- आरती अपनी क्षमता की 60% क्षमता के साथ कार्य करते हुए 40% कार्य को 20 दिनों में पूरा करती है ।
(1) Q1 > Q2
(2) Q1 > Q2
(3) Q1 < Q2
(4) Q1 < Q2
(5) Q1 = Q2
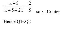
(3) Find the quantity of milk initially in the solution of milk and water-
Q1-When 12 liter water is added in the solution percentage of milk reduces from 25% to 20%.
Q2-In mixture quantity of water is twice the quantity of milk but when 5 liter milk is added in solution, percentage of milk in solution becomes 40%.
दूध और पानी के मिश्रण में दूध की प्रारंभिक मात्रा ज्ञात कीजिये - -
Q1-जब मिश्रण में 12 लीटर पानी मिलाया जाता है तो दूध का प्रतिशत 25% से कम होकर 20% हो जाता है ।
Q2-मिश्रण में पानी की मात्र दूध की दो गुनी है लेकिन जब मिश्रण में 5 लीटर दूध मिलाया जाता है, तो मिश्रण में दूध का प्रतिशत 40% हो जाता है ।
(1) Q1 > Q2
(2) Q1 > Q2
(3) Q1 < Q2
(4) Q1 < Q2
(5) Q1 = Q2
(4) Find the runs scored by Kohli in 21st inning-
Q1- After playing 21st inning his batting average become 38 from 35.
Q2- After playing 21st inning his batting average reduced by 1 run which was earlier 42 runs/inning.
21 वीं पारी में कोहली द्वारा बनाये गए रन बताइए -
Q1- 21 वी पारी में बल्लेबाजी के बाद उसका बल्लेबाजी औसत 35 से 38 हो गया।
Q2- 21 वी पारी में बल्लेबाजी के बाद बल्लेबाजी औसत 1 रन कम हो गया जो पहले 42 रन/पारी था।
(1) Q1 > Q2
(2) Q1 > Q2
(3) Q1 < Q2
(4) Q1 < Q2
(5) Q1 = Q2
(5) Q12-5.4Q1+5.04=0
Q22-9.2Q2+21=0
(1) Q1 > Q2
(2) Q1 > Q2
(3) Q1 < Q2
(4) Q1 < Q2
(5) Q1 = Q2
Q-(6-10) Study the following graph carefully and answer the questions based on it–
Ratio of females to males:
निम्नलिखित ग्राफ का ध्यानपूर्वक अध्ययन करें और इसपर आधारित प्रश्नों के उत्तर दीजिये।
महिलाओं और पुरुषों का अनुपात
(6) What is the total number of males working in all the department together?
सभी विभागों में एक साथ कार्य करने वाले कर्मचारियों की संख्या क्या है?
(1) 726
(2) 733
(3) 764
(4) 715
(5) None of these
(7) What is the number of females working in HR department?
मानव संसाधन विभाग में कार्य करने वाली महिलाओं की संख्या क्या है?
(1) 75
(2) 87
(3) 81
(4) 69
(5) None of these
(8) What is the ratio of total number of employees working in production department to those working in merchandising department?
बिक्री विभाग में कार्य कर रहे कर्मचारियों की संख्या व उत्पादन विभाग में कार्य कर रहे कर्मचारियों की कुल संख्या में क्या अनुपात है?
(1) 15:14
(2) 13:12
(3) 33:31
(4) 12:11
(5) None of these
(9) What is the ratio of the number of females working in HR department to that of males working in production department?
मानव संसाधन विभाग में कार्य करने वाली महिलाओं की संख्या व उत्पादन विभाग में कार्य करने वाले पुरुषों की संख्या में अनुपात है ?
(1) 75:101
(2) 81:100
(3) 79:113
(4) 114:133
(5) None of these
(10) In which department are the lowest number of females is working?
किस विभाग में महिला कर्मचारियों की संख्या सबसे न्यूनतम है ?
(1) IT
(2) HR
(3) Production
(4) Marketing
(5) None of these
Answer Key-
Q-(1) Sol-(5)
Q1=Q2
Q-(2) Sol-(1)
Q1 > Q2
Q-(3) Sol-(3)
Q1= Water : Milk
3 : 1
4 : 1 now 1=12 liter (quantity of milk)
let milk x and water 2x
Q-(4) Sol-(1)
Q1=21×38-20×35=98 runs
Q2=21×41-20×42=21 runs
hence Q1>Q2
Q-(5) Sol-(4)
Q1=1.2,4.2
Q2=4.2,5
Q1< Q2
Q-(6) Sol-(3)
Q-(7) Sol-(3)
Q-(8) Sol-(1)
Required ratio = 375 : 350 = 15 : 14
Q-(9) Sol-(2)
Required ratio = [225 x 9/25]/ [375 x 4/15] = 81 : 100
Q-(10) Sol-(1)
IT = 200 x 9/40 = 45

0 comments:
Post a Comment
MAHENDRA GURU