Mahendras has started special quizzes for IBPS & SBI Exam so that you can practice more and more to crack the examination. This IBPS & SBI Exam special quiz series will mold your preparations in the right direction and the regular practice of these quizzes will be really very helpful in scoring good marks in the Examination. Here we are providing you the important question of reasoning ability for the for the the IBPS & SBI Exam.
(1) Niharika purchased some lichi at rate of 30 lichi /20 Rs and sold all at rate of 24 lichi /18 Rs .Find his overall profit/loss percentage of Niharika?
निहारिका ने कुछ लीची 30 लीची/ 20 रुपये की दर से ख़रीदे तथा सभी को 24 लीची / 18 रुपए की दर से बेच दिए निहारिका का समग्र लाभ /हानि प्रतिशत ज्ञात कीजिये?
(1) 12.5% profit
(2) 12.5% loss
(3) 17.5% profit
(4) 17.5% loss
(5) None of these
(2) A man covered a certain distance at some speed. If he had moved 3 kmph faster, he would have taken 40 minutes less.whereas If he had moved 2 kmph slower, he would have taken 40 minutes more. What is the distance in km?
एक आदमी एक निश्चित गति से एक निश्चित दूरी को पार करता है ,यदि वह 3 किमी प्रति घंटे तेज़ चला होता, तो वह 40 मिनट कम समय लेटा ,यदि वह 2 किमी प्रति घंटे धीमी गति से चला होता , तो वह 40 मिनट अधिक समय लेता, कुल दूरी बताइए?
(1) 45 Km
(2) 40 Km
(3) 60 Km
(4) 30 Km
(5) None of these
(3) A superfast train whose length is 280 meters crosses a tunnel in 27 seconds. If its speed is 60 Km/h then find the length of tunnel.
एक ट्रेन जिसका लम्बाई 280 मीटर है एक सुरंग को 27 सेकंड में पार करती है। यदि ट्रेन की गति 60 किमी / घंटा है तो सुरंग की लम्बाई ज्ञात करें।
(1) 150 meter
(2) 175 meter
(3) 225 meter
(4) 170 meter
(5) None of these
(4) In what ratio a shopkeeper should mix two varieties of Rice costing 35 Rs/Kg and 48 Rs/Kg so that on selling mixture at 52 Rs/Kg he may get a profit of 30%?
किस अनुपात में एक दुकानदार को 35 रुपये / किग्रा और 48 रुपए / किग्रा की लागत वाली दो किस्मों के चावल को मिलाया जाना चाहिए ताकि 52 रुपए / किग्रा पर मिश्रण बेचकर उउसे 30% का लाभ हो ?
(1) 5:3
(2) 3:5
(3) 5:8
(4) 8:5
(5) None of these
(5) Simple interest on a principal of 2 years is Rs 108.80 and compound interest on same principal for same time period and rate of interest is Rs 115.60. Find rate of interest.
किसी मूलधन पर 2 वर्षो का साधारण ब्याज 108.80 रुपये है तथा समान मूलधन पर समान ब्याज दर पर समान समय का चक्रवृद्धि ब्याज 115.60 रुपये है। प्रति वर्ष ब्याज की दर ज्ञात कीजिये।
(1) 12.5 %
(2) 8%
(3) 10 %
(4) 15%
(5) None of these
Q-(6-10) In the following question find the values of variables and mark the correct option accordingly
निम्न प्रश्न में चर का मान ढूँढें और उसके अनुसार सही विकल्प को चुनें
(1) x=y or relationship can't be established
(2) x > y
(3) x < y
(4) x > y
(5) x < y
(1) x=y or relationship can't be established
(2) x > y
(3) x < y
(4) x > y
(5) x < y
(8) 2.2x + 4.8y = 11
5.2x + 3.2y = 16
(1) x=y or relationship can't be established
(2) x > y
(3) x < y
(4) x > y
(5) x < y
(9) I. 4x2 - 4x - 15 = 0
II. 3y2 - 13y + 14 = 0
(1) x=y or relationship can't be established
(2) x > y
(3) x < y
(4) x > y
(5) x < y
(1) x=y or relationship can't be established
(2) x > y
(3) x < y
(4) x > y
(5) x < y
Answer Key-
Q-(1) Sol-(1)
after making number of quantities equal we can directly solve
120 lichi=80 Rs(CP)
120 lichi=90 Rs(SP)
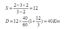
Q-(2) Sol-(2)
Q-(3) Sol-(4)
Distance travelled in 27 second =
Q-(4) Sol-(4)
First calculate CP of mixture=40 Rs
Apply mixture and allegation
35
48
40
8
: 5
Q-(5) Sol-(1)
Q-(6) Sol-(5)
CND
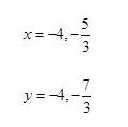
Q-(7) Sol-(2)
x = 6, - 4.5
y = - 4.5, - 4
x ≥ y
Q-(8) Sol-(4)
Multiply by 1.5 in second equation and subtract from first equation
x = 2.32 (Approx)
y = 1.23 (Approx)
Hence x > y
Q-(9) Sol-(5)
x = 2.5, -1.5, y = 2.33, 2
Hence relationship can't be established.
Q-(10) Sol-(2)

0 comments:
Post a Comment
MAHENDRA GURU