Dear Readers,
As SSC CGL & MTS notification is out and candidates have started their preparation for this exam. Mahendras also has started special quizzes for this examination. This series of quizzes are based on the latest pattern of the SSC CGL & MTS examination. Regular practice of the questions included in the quizzes will boost up your preparations and it will be very helpful in scoring good marks in the examination.
Q-1 A double bed is marked at Rs. 7500. The shopkeeper allows successive discounts of 8%, 5% and 2% on it. What is the new selling price?
एक डबलबेड की कीमत 7500 रू. अंकित की गई है। दुकानदार उस पर 8% ,5% और 2% की क्रमागत छूट देता है। उसका नया बिक्री मूल्य क्या है?
(A) 6832.25
(B) 5892.50
(C) 6423.90
(D) 7050.60
Q-2 If diagonals of a rhombus are 24 cm. and 32 cm., then perimeter of that rhombus is -
यदि किसी समचतुर्भुज के विकर्ण 24 सेमी. और 32 सेमी. है तो उस समचतुर्भुज का परिमाप है-
(A) 80
(B) 60
(C) 75
(D) 50
Q-3 The average marks secured by 36 students was 52. But is was discovered that an item 64 was misread as 46. What is the correct mean of marks?
36 विद्यार्थियों को औसतन 52 अंक प्राप्त हुए। किन्तु बाद में पता चला कि पद 64 को गलती से 46 पढ़ा गया। अंकों का सही माध्य क्या होगा?
(A) 53
(B) 54.54
(C) 51.8
(D) 52.6
Q-4 Find the difference between the compound interest and the simple interest on Rs. 32000 at 10% p.a. for 4 years.
32000 की धनराशि पर 4 वर्ष के लिए 10% वार्षिक ब्याज की दर से चक्रवृद्धि ब्याज और साधारण ब्याज का अन्तर बताइए।
(A) 2125.25
(B) 2051.20
(C) 1844.50
(D) 2044.25
Q-5 A soild metallic spherical ball of diameter 6 cm. is melted and recast into a cone with diameter of the base as 12 cm. The height of the cone is -
6 सेमी. व्यास वाली एक ठोस धात्विक गोलीय गेंद को पिघला कर उसे 12 सेमी. आधार व्यास वाले लम्बवृत्तीय शंकु में ढाला गया। शंकु की ऊंचाई है-
(A) 5
(B) 3
(C) 2
(D) 4
Q-6 If x = 2015, y = 2014 and z = 2013, then value of x2+y2 +z2 – xy – yz – zx is
यदि x = 2015, y = 2014 और z = 2013 हो तो x2+y2 +z2 – xy – yz – zx का मान है-
(A) 7.5
(B) 5
(C) 4.5
(D) 3
Q-7 If a+b+c = 0, then the value of (a+b – c)2 + (b+c – a)2 + (c+a – b)2 is -
यदि a+b+c = 0 हो तो (a+b – c)2+ (b+c – a)2 + (c+a – b)2 का मान है-
(A) (a2 + b2+ c2 )
(B) 2 (a2 + b2+ c2 ).
(C) 8 (a2 + b2 + c2 )
(D) 4 (a2 + b2 + c2 )
Q-8 DE is a tangent to the circum-circle of ΔABC at the vertex A such that DE||BC. If AB = 17 cm., then the length of AC is equal to -
ΔABC के परिवृत्त में DE रेखा A शीर्ष बिन्दु पर इस प्रकार स्पर्श करती है कि DE||BC यदि AB = 17 सेमी. है तो AC की लम्बाई बराबर है-
(A) 20
(B) 18
(C) 15
(D) 17
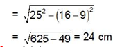
Q-9 The distance between the centres of two circles with radii 9 cm. and 16 cm. is 25 cm. Then find the length of the common transverse tangent.
दो 9 सेमी. और 16 सेमी. त्रिज्या वाले वृत्तों के केन्द्रों के बीच की दूरी 25 सेमी. है तो उनके उभयनिष्ठ अनुस्पर्श रेखा खण्ड की लम्बाई ज्ञात कीजिए।
(A) 27
(B) 24
(C) 25
(D) 29
Q-10 The sum of two numbers is 232 and their HCF is 29. What is the numbers of such pairs of numbers satisfied the above condition.
दो संख्याओं का योग 232 और उनका म.स.प. 29 है। ऐसी संख्याओं के कितने जोड़े संभव है जो उपरोक्त शर्त को संतुष्ट करेंगे।
(A) 0
(B) 1
(C) 2
(D) 3
Answer Key:-
Q.1. Sol-(C)
Q.2. Sol-(A)
Q.3. Sol-(D)
Q.4. Sol-(B) Compound interest
Q.5. Sol-(B)
Q.6. Sol-(D)
Q.7. Sol-(D)
a + b + c = 0
a + b = - c, b + c = - a, c + a = - b
(a + b - c)2+ (b + c - a)2 + (c + a - b)2
= 4c2 + 4a2 + 4b2 = 4 (a2 + b2+ c2 )
Q.8. Sol-(D)
OA = OB = OC
AB = BC = AC
AC = 17 cm
Q.9. Sol-(A) Length of tangent /स्पर्श रेखा की लम्बाई
Q.10. Sol-(C)
Let two number is 29a and 29b
29a + 29b = 232
a + b = 232/29 = 8
(a,b)= (1,7) (3,5)
The pair is (87, 145) (29,203)

0 comments:
Post a Comment
MAHENDRA GURU