Dear Readers,
Mahendras has started special quizzes for IBPS & SBI Exam so that you can practice more and more to crack the examination. This IBPS & SBI Exam special quiz series will mold your preparations in the right direction and the regular practice of these quizzes will be really very helpful in scoring good marks in the Examination. Here we are providing you the important question of reasoning ability for the for the the IBPS & SBI Exam.
Q-(1-5) What value will come in place of the question mark (?) in the following questions?
निम्नलिखित प्रश्नों में प्रश्नवाचक चिन्ह (?) के स्थान पर क्या मान आयेगा?
(1) (4139 – 2763) ÷ 43 × 26 = ?
(1) 812
(2) 832
(3) 795
(4) 902
(5) None of these
(2) 5832 × 166 = ?
(1) 968112
(2) 952224
(3) 862452
(4) 945210
(5) None of these
(3) 888 × 88 × 8 ÷ 88 ÷ 8 ÷ 4 = ?
(1) 252
(2) 111
(3) 232
(4) 222
(5) None of these
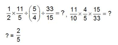
(1) 1/2
(2) 3/4
(3) 2/5
(4) 3/5
(5) None of these
(5) 3985 – 2764 + ? = 1550
(1) 315
(2) 319
(3) 329
(4) 336
(5) None of these
Q-(6-10) In each of the following number-series only one number is wrong. Find out that wrong number.
निम्नलिखित संख्या-श्रृंखला में केवल एक संख्या गलत है। गलत संख्या को ज्ञात कीजिए।
(6) 4 6.5 14 35.5 111.5 392.75
(1) 14
(2) 4
(3) 6.5
(4) 115.5
(5) 35.5
(7) 10 11 19 47 110 235
(1) 47
(2) 235
(3) 110
(4) 10
(5) 11
(8) 48 24 72 34 108 54
(1) 48
(2) 108
(3) 54
(4) 34
(5) 72
(9) 10 16 48 318 4864 154624
(1) 4864
(2) 318
(3) 48
(4) 10
(5) 16
(10) 3 21 78 326 1648 9902
(1) 78
(2) 326
(3) 9902
(4) 3
(5) 21
Answer Key-
Q-(1) Sol-(2)
Q-(2) Sol-(1)
? = 5832 × 166, ? = 968112
Q-(3) Sol-(4)
Q-(4) Sol-(3)
Q-(5) Sol-(3)
3985 – 2764 + ? = 1550, ? = 329
Q-(6) Sol-(5)
4 × 1.5 + 0.5 = 6.5
6.5 × 2 + 1 = 14
14 × 2.5 + 1.5 = 36.5
36.5 × 3 + 2 = 111.5
111.5 × 3.5 + 2.5 = 392.75
Q-(7) Sol-(1)
10 + 13 = 11
11 + 23 = 19
19 + 33 = 46
46 + 43 = 110
110 + 53 = 235
Q-(8) Sol-(4)
48 ÷ 2 = 24
24 × 3 = 72
72 ÷ 2 = 36
36 × 3 = 108
108 ÷ 2 = 54
Q-(9) Sol-(2)
10 × 2 - 4 = 16
16 × 4 - 16 = 48
48 × 8 - 64 = 320
320 × 16 - 256 = 4864
4864 × 32 - 1024 = 154624
Q-(10) Sol-(5)
3 × 2 + 14 = 20
20 × 3 + 18 = 78
78 × 4 + 14 = 326
326 × 5 + 18 = 1648
1648 × 6 + 14 = 9902

0 comments:
Post a Comment
MAHENDRA GURU