Dear Readers,
As SSC CGL & MTS notification is out and candidates have started their preparation for this exam. Mahendras also has started special quizzes for this examination. This series of quizzes are based on the latest pattern of the SSC CGL & MTS examination. Regular practice of the questions included in the quizzes will boost up your preparations and it will be very helpful in scoring good marks in the examination.
(1) A is as efficient as b and C together. Working together A and B can complete a work in 36 days and C alone can complete it in 60 days. A and C working together for 10 days . B alone will complete the remaining work in?
A, B เคเคฐ C เคे เคธเคฎाเคจ เคนी เคुเคถเคฒ เคนै। A เคเคฐ B เคเค เคธाเคฅ เคाเคฎ เคเคฐเคे 36 เคฆिเคจों เคฎें เคเค เคाเคฎ เคชूเคฐा เคเคฐ เคธเคเคคे เคนैं เคเคฐ C เค เคेเคฒे เคเคธे 60 เคฆिเคจों เคฎें เคชूเคฐा เคเคฐ เคธเคเคคे เคนैं।A เคเคฐ C 10 เคฆिเคจों เคे เคฒिเค เคเค เคธाเคฅ เคाเคฎ เคिเคฏे, B เค เคेเคฒे เคถेเคท เคाเคฐ्เคฏ เคो เคชूเคฐा เคเคฐेเคा?
(A) 110 days เคฆिเคจ
(B) 88 days เคฆिเคจ
(C) 84 days เคฆिเคจ
(D) 90 days เคฆिเคจ
(2) Given that
เคฆिเคฏा เคนै
(A) - 13
(B) 15
(C) – 15
(D) 13
(3) The side of the a triangle are 12 cm, 35 cm and 37 cm. What is the circumradius of the triangle ?
เคเค เคค्เคฐिเคญुเค เคी เคญुเคा 12 เคธेเคฎी, 35 เคธेเคฎी เคเคฐ 37 เคธेเคฎी เคนै। เคค्เคฐिเคญुเค เคी เคชเคฐिเคค्เคฐिเค्เคฏा เค्เคฏा เคนै?
(A) 19 cm เคธेเคฎी
(B) 17.5 cm เคธेเคฎी
(C) 17 cm เคธेเคฎी
(D) 18.5 cm เคธेเคฎी
(4)water in which the ratio of acid and water is 5 : 3 If 12 litres of the solution is taken out and 7.5 litres of water is added to it, The what is the ratio of acid and water in the resulting solution?
เคเค เคฌเคฐ्เคคเคจ เคฎें เคเคธिเคก เคเคฐ เคชाเคจी เคा 32 เคฒीเคเคฐ เคोเคฒ เคนोเคคा เคนै, เคिเคธเคฎें เคเคธिเคก เคเคฐ เคชाเคจी เคा เค เคจुเคชाเคค 5: 3 เคนोเคคा เคนै। เค เคเคฐ 12 เคฒीเคเคฐ เคोเคฒ เคो เคจिเคाเคฒा เคाเค เคเคฐ เคเคธเคฎें 7.5 เคฒीเคเคฐ เคชाเคจी เคกाเคฒा เคाเค, เคคो เคชเคฐिเคฃाเคฎเคธ्เคตเคฐूเคช เคोเคฒ เคฎें เคชाเคจी เคเคฐ เคเคธिเคก เคा เค เคจुเคชाเคค เค्เคฏा เคนै??
(A) 4 : 7
(B) 5 : 6
(C) 4 : 9
(D) 8 : 11
(5) Monica spends 72% of he income. If her income increased by 20% and saving increased by 15%, then her expenditure increased by (approximate)?
เคฎोเคจिเคा เคจे เค เคชเคจी เคเคฏ เคा 72% เคเคฐ्เค เคिเคฏा। เคฏเคฆि เคเคธเคी เคเคฏ เคฎें 20% เคी เคตृเคฆ्เคงि เคนुเค เคเคฐ เคฌเคเคค เคฎें 15% เคी เคตृเคฆ्เคงि เคนुเค, เคคो เคเคธเคा เคต्เคฏเคฏ % (เคฒเคเคญเค) เคธे เคฌเคข़ เคเคฏा?
(A) 20.8 %
(B) 20.2 %
(C) 21.9 %
(D) 19.8 %
(6) A, B and C started a business with their capital in the ratio of 2 : 3: 5. A increase his capital by 50% after 4 months, B increased hi capital by
A, B เคเคฐ C เคจे 2: 3: 5. เคे เค เคจुเคชाเคค เคฎें เค เคชเคจी เคชूंเคी เคे เคธाเคฅ เคเค เคต्เคฏเคตเคธाเคฏ เคถुเคฐू เคिเคฏा। 4 เคฎเคนीเคจे เคฌाเคฆ A เคी เคชूंเคी เคฎें 50% เคी เคตृเคฆ्เคงि เคนुเค, 6 เคฎเคนीเคจे เคे เคฌाเคฆ B เคจे เคชूंเคी
(A) ₹ 12600
(B) ₹ 7000
(C) ₹ 9800
(D) ₹8400
(7) An article was sold at a profit of 14%. Had it been sold for ₹ 121 less, a loss of 8% would have been incurred. If the same article would have been sold for ₹ 536.25, Then the profit /loss percent would have been?
เคเค เคตเคธ्เคคु 14% เคे เคฒाเคญ เคชเคฐ เคฌेเคा เคเคฏा เคฅा। เค เคเคฐ เคเคธे, 121 เคเคฎ เคฎें เคฌेเคा เคाเคคा, เคคो 8% เคी เคนाเคจि เคนोเคคी। เคฏเคฆि เคตเคนी เคตเคธ्เคคु ₹ 536.25 เคฎें เคฌेเคा เคाเคคा, เคคो เคฒाเคญ / เคนाเคจि เคช्เคฐเคคिเคถเคค เคนोเคคा?
(A) 5% Profit เคฒाเคญ
(B) 5% loss เคนाเคจि
(C) 2.5% loss เคนाเคจि
(D) 2.5% Profit เคฒाเคญ
(8) A shopkeeper allows 18% discount on the marked price of an article and still makes a profit of 23%. If he gains ₹ 1840 on the sale of the article, then what is the marked price of the article?
เคเค เคฆुเคाเคจเคฆाเคฐ เคเค เคตเคธ्เคคु เคे เคिเคน्เคจिเคค เคฎूเคฒ्เคฏ เคชเคฐ 18% เคी เคूเค เคฆेเคคा เคนै เคเคฐ เค เคญी เคญी 23% เคा เคฒाเคญ เคเคฎाเคคा เคนै। เคฏเคฆि เคตเคน เคตเคธ्เคคु เคी เคฌिเค्เคฐी เคชเคฐ ₹18.40 เคช्เคฐाเคช्เคค เคเคฐเคคा เคนै, เคคो เคตเคธ्เคคु เคा เคिเคน्เคจिเคค เคฎूเคฒ्เคฏ เค्เคฏा เคนै?
(A) ₹ 140
(B) ₹ 125
(C) ₹ 120
(D) ₹ 146
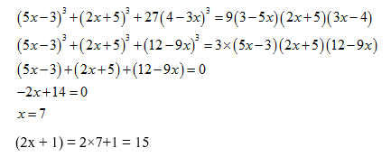
(9) The value of
(A) 0
(B) –2
(C) 2
(D) 1
(10) A person covers a certain distance in 6 hours, if travels at 40km/h. if he has cover the same distance in 4 hours, then his speed must be?
เคเค เคต्เคฏเค्เคคि 6 เคंเคे เคฎें เคเค เคจिเคถ्เคिเคค เคฆूเคฐी เคो เคคเคฏ เคเคฐเคคा เคนै, เค เคเคฐ 40km/h. เคชเคฐ เคฏाเคค्เคฐा เค เคเคฐ เคตเคน 4 เคंเคे เคฎें เคเคธी เคฆूเคฐी เคो เคคเคฏ เคเคฐे, เคคो เคเคธเคी เคเคคि เคนोเคจी เคाเคนिเค?
(A) 75 km/hour เคिเคฎी /เคंเคा
(B) 50 km/hour เคिเคฎी /เคंเคा
(C) 55 km/hour เคिเคฎी /เคंเคा
(D) 60 km/hour เคिเคฎी /เคंเคा
Answer Key-
Q-(1) Sol. (A)
Q-(6) Sol. (A)
Q-(7) Sol. (C)
114%–92%=121
CP---100=550
114%–92%=121
CP---100=550
Loss %=2.54%
Q-(8) Sol. (C)

0 comments:
Post a Comment
MAHENDRA GURU