Dear Readers,
As SSC CGL & MTS notification is out and candidates have started their preparation for this exam. Mahendras also has started special quizzes for this examination. This series of quizzes are based on the latest pattern of the SSC CGL & MTS examination. Regular practice of the questions included in the quizzes will boost up your preparations and it will be very helpful in scoring good marks in the examination.
(1) If a boat covers a distance of 225 km downstream in 15 hours and a distance of 150 km in upstream in 15 hours , find the ratio of the speed of the boat in still water to the stream?
एक नाव अनुप्रवाह में 225 किमी की दूरी 15 घंटे में तय करती है और उर्ध्वप्रवाह में 150 किमी की दूरी 15 घंटे में तय करती है तो शांत जल में नाव की चाल से धारा की चाल का अनुपात ज्ञात कीजिये?
(1) 3 : 5
(2) 1 : 5
(3) 5 : 1
(4) 5 : 3
(2) Pipe A can fill an empty tank in 30 hours while B can fill it in 45 hours. Pipe A and B are opened and closed alternatively i.e., first pipe A is opened, then B, again A and then B and so on for 1 hour each time without any time lapse. In how many hours the tank will be filled if it was empty , initially ?
पाइप ए 30 घंटे में एक खाली टैंक भर सकता है जबकि बी इसे 45 घंटे में भर सकता है । पाइप A और B को एकांतर रूप से खोला और बंद कर दिया जाता है यानी पहले पाइप A खोला जाता है, फिर B, फिर A और फिर B और इसी प्रकार बिना किसी समय चूक के 1 घंटे के लिए । कितने घंटे में टैंक भरा जाएगा अगर यह शुरू में खाली था?
(1) 36
(2) 54
(3) 40
(4) 50
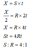
(3) A man covers X km in t hours at S km/hr , another man covers X/2 km in 2t hours at R km/hr. Then the ratio S:R equals are ?
एक व्यक्ति X किमी , S किमी/घंटा की चाल से t घंटे में तय करता है , और दूसरा व्यक्ति X/2 किमी , R किमी/घंटा की चाल से 2t घंटे में तय करता है | S:R किसके बराबर है ?
(1) 2 : 3
(2) 1 : 4
(3) 3 : 2
(4) 4 : 1
(4) The average score of some children in a class is 55, the average score of a class increases by 1.5 with the arrival of a new child . If the score of new child is 70, what is the total number of children in the class?
एक कक्षा के कुछ बच्चों का औसत प्राप्तांक 55 है , एक नए बच्चे के आ जाने से कक्षा का औसत प्राप्तांक 1.5 बढ़ जाता है यदि नए बच्चे का प्राप्तांक 70 है तो कक्षा के कुल बच्चों की संख्या कितनी है ?
(1) 7
(2) 11
(3) 9
(4) 8
(5) If two vessel in which the ratio of milk and water mixture is 7: 4 and 6: 5, both the mixture is kept in a new vessel , then find the percentage of milk in the new vessel ?
दो पात्र जिसमे दूध और पानी के मिश्रण का अनुपात 7 : 4 तथा 6 : 5 है , दोनों मिश्रण को एक नए पत्र में रखा जाता है तो नए पात्र में दूध का प्रतिशत ज्ञात कीजिये ?
(1) 59.09 %
(2) 64.09 %
(3) 53.09 %
(4) 49.09 %
(6) The expression
is equal to-
व्यंजक
बराबर है-
(A) tan 33o cot 53o
(B) tan 53o cot 37o
(C) tan 33o cot 57o
(D) tan 57o cot 37o
(7) The number of sides in two regular polygon are in the ratio 5 : 4 and the difference between each interior angle of polygons is 6o then number of diagonals of regular polygon having larger sides.
दो सम बहुभुज की भुजाओं का अनुपात 5 : 4 है और उनके प्रत्येक अंतः कोण का अन्तर 60 है। तो अधिक भुजाओं वाले समबहुभुज के विकर्णों की संख्या ज्ञात कीजिए।
(A) 54
(B) 60
(C) 90
(D) 70
(8) If a : b : c = (y – z) : (z – x) : (x – y) then the value of ax + by + cz is-
यदि a : b : c = (y – z) : (z – x) : (x – y) तो ax + by + cz का मान है-
(A) 1
(B) 3
(C) 0
(D) – 1
(9) If
, then find the value of
. यदि
, तो
का मान ज्ञात कीजिये?
(A) 1/21
(B) 2/21
(C) 4/21
(D) 8/21
(10) Find the median of the data 24, 33, 30, 22, 21, 25, 34, 27.
आंकड़ों 24, 33, 30, 22, 21, 25, 34, 27 की माध्यिका ज्ञात कीजिये।
(A) 26
(B) 27
(C) 26.5
(D) 27.5
Answer Key-
Q-(1) Sol-(3)
Down stream speed = 225/15 = 15 km/hr
Upstream speed = 150/15 = 10 km/hr
Required ratio = (15 + 10 ) / 2 : ( 15 -10 ) / 2 = 5 : 1
Q-(2) Sol-(1)
Time Work Efficiency
A
- 30 hrs 3
90
B
- 45 hrs 2
Required time = 90 × 2 / 5 = 18× 2 = 36 hours
Q-(3) Sol-(4)
Q-(4) Sol-(3)
According to the question –
56.5 × (x+1) – 55 × x = 70
x = 9
हल :- माना कक्षा में कुल x बच्चे है ,
प्रश्न के अनुसार –
56.5 × (x+1) – 55 × x = 70
x = 9
Q-(5) Sol-(1)
Ratio of milk and water in new vessel = 13 : 9
Required % = 13 × 100 / 22 = 59 .09 %
Q-(6) Sol-(4)
Q-(8) Sol-(3)
ax + by + cz = x (y – z) + y (z – x) + z (x – y)
= xy – xz + yz – xy + zx – yz
= 0
0 comments:
Post a Comment
MAHENDRA GURU