Dear Readers,
Mahendras has started special quizzes for IBPS & SBI Exam so that you can practice more and more to crack the examination. This IBPS & SBI Exam special quiz series will mold your preparations in the right direction and the regular practice of these quizzes will be really very helpful in scoring good marks in the Examination. Here we are providing you the important question of reasoning ability for the for the the IBPS & SBI Exam.
Q.1 A vessel contain some litres of pure milk. If 25 litre of water is added to the vessel, then ratio between milk and water becomes 12:5, 17 litres of mixture is drawn from the vessel and 10 litre of water is added to the mixture. Find the new ratio between milk and water.
एक बर्तन में कुछ लीटर शुद्ध दूध हैं | यदि इसमें 25 लीटर पानी मिला दिया जाए तो बर्तन नें दूध और पानी का अनुपात 12 : 5 हो जाता हैं , इसमें से 17 लीटर मिश्रण निकाल कर 10 लीटर पानी मिला दिया जाए तो दूध और पानी का अनुपात ज्ञात कीजिये?
(1) 8 : 5
(2) 5 : 8
(3) 6 : 5
(4) 5 : 6
(5) Cannot be determined/तय नहीं किया जा सकता
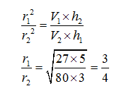
Q.2 Ratio between heights of two cylinder in the ratio 3:5. Their volumes are in the ratio 27:80. Find ratio between their radius?
दो बेलन की ऊँचाई का अनुपात 3 : 5 हैं ,उनके आयतनों का अनुपात 27 : 80 हैं | तो उनकी त्रिज्यो का अनुपात ज्ञात कीजिये?
(1) 9 : 16
(2) 16 : 9
(3) 3 : 4
(4) 4 : 3
(5) 9 : 20
Q.3 A man invested a sum of money in Scheme A, at a rate of 15% per annum for simple interest, at the end of 2 years the amount received by him is invested in scheme B at 20% per annum for compound interest. If the interest received by him from scheme B at the end of 2 years is Rs. 2860, then find the sum invested by man in the beginning?
एक आदमी कुछ धनराशि योजना A में 15% की दर से साधारण ब्याज पर निवेश करता है, 2 वर्ष के अंत पर प्राप्त धनराशि को वह योजना B में 20% ब्याज दर से चक्रवृद्धि ब्याज पर निवेश करता है| यदि योजना B से 2 वर्ष के अंत में उसे रू 2860 ब्याज प्राप्त होता हैं , तो आदमी द्वारा प्रारंभ में निवेश धनराशि ज्ञात कीजिये ?
(1) 3250
(2) 5000
(3) 6500
(4) Cannot be determined/तय नहीं किया जा सकता
(5) None of these / इनमें से कोई नहीं |
Q.4 B is 20% more efficient than A. A started the work and work for x days and then A is replaced B. B completed the remaining work in x+8 days. Ratio of the work done by A and B is 2 : 3. In how many days A and B working together can complete the whole work?
B A से 20% अधिक कार्य कुशल है | A कार्य प्रारंभ करता है और x दिन कार्य करते हैं और फिर B इसे बदलता हैं, B शेष कार्य (x+8) दिन में करता हैं | A और B द्वारा किये गए कार्य का अनुपात हैं 2 : 3 | A और B मिलकर इस कार्य को कितने दिनों में पूरा करेंगे ?
(5) None of these / इनमें से कोई नहीं
Q.(5) A and B started a business investing the money in ratio 4:6, after 6 months B withdraw his investment and C joins him with twice the amount of B. At the end of the year total profit is 3315. Find share of C?
A और B मिलकर एक व्यपार प्रारंभ करते हैं जिसमें इनके निवेश का अनुपात 4 : 6 हैं | 6 माह के बाद B अपना निवेश निकाल लेता हैं और C व्यपार में B से दुगना निवेश करके जुड़ता हैं |वर्ष के अंत में इन्हें कुल लाभ 3315 का हैं तो C का भाग ज्ञात कीजिये ?
(1) 1530
(2) 1535
(3) 1695
(4) 1655
(5) None of these/इनमें से कोई नहीं
Q.6 Sachin is younger than Rahul by 4 years. It their ages are in the ratio 7 : 9. then how old is sachin?
सचिन राहुल से 4 वर्ष छोटा है, यदि उनकी आयु का अनुपात 7 : 9 है तो सचिन की आयु ज्ञात कीजिये?
(1) 14 years
(2) 18 years
(3) 25 years
(4) 21 years
(5) 30 years
Q. 7 . The marked price of an article is 30% higher than the cost price. If a trader sells the articles allowing 10% discount to the customer, then the gain percent will be:
किसी वस्तु की औसत कीमत उसके क्रय मूल्य से 30% अधिक है | यदि कोई व्यापारी उसे 10% की छूट दे कर बेचे तो उसका लाभ प्रतिशत बताइए ?
(1) 17
(2) 19
(3) 20
(4) 15
(5) None of these
Q.8 A metal pipe is 21 cm long and its exterior diameter is 8cm. If the thickness of the pipe is 1 cm and 1 cm3 of metal weight 8 g. Then metal weight of the pipe (in kg) is (use π= 22/7)
एक धातु के पाइप की लम्बाई 21 सेमी और उसका वाह्य व्यास 8 सेमी. है। यदि पाइप की मोटाई 1 सेमी है और 1 सेमी.3 धातु का भार 8 ग्राम है तो धातु के पाइप का भार है। ( π= 22/7)
(1) 3.696
(2) 33.669
(3) 3.966
(4) 3.699
(5) None of these
Q.9 600 amount to Rs. 740 in 5 years at a certain rate of simple interest. If the rate of interest is increased by 3 % . what will be the amount then ?
600 रुपए की राशि 5 वर्षो में 740 हो जाती है यदि ब्याज की दर को 3 % बढ़ाया जाता है तो अब राशि ज्ञात कीजिये
(1) 800
(2) 856
(3) 930
(4) 830
(5) None of these
Q.10 A person bought 76 cows and sold 20 cows at 15% profit, 40 cows at 19% profit and remaining 16 cows at 25% and got a profit of Rs.7300 as a whole. Find the cost price of each cow?
एक आदमी 76 गाये खरीदता है 20 गायों को वो 15 % के लाभ पर बेचता है 40 गायो को 19 % के लाभ पर और बचे हुए 16 गायो को 25 % के लाभ पर और उसे 7300 का कुल लाभ होता है तो एक गाय का क्रय मूल्य ज्ञात कीजिये ?
(1) Rs. 450
(2) Rs. 480
(3) Rs 420
(4) Rs 500
(5) None of these
Answer Key-
Q-(1) Sol-(1) 1
5 ratio = 25 litre
12 ratio = 60 litre
60 – 12 : 25-5+10 = 8 : 5
Q-(2) Sol-(3) 2
Q-(3) Sol-(2) 3
Q-(5) Sol-(1)
Q-(8) Sol-(1)
External radius
of pipe r2 = 4 cm
Internal radius = r1 = 4 - 1 = 3 cm.
volume of pipe = (r22 - r21)
×h.
= π (16 - 9) × 21 = 22/7 ×
7 × 21 = 462 cu.cm.
Weight of pipe
= volume × Density.
= 3.696 kg.
Q-(9) Sol-(4)
Q-(10) Sol-(4)

0 comments:
Post a Comment
MAHENDRA GURU