Dear Readers,
As SSC CGL notification is out and candidates have started their preparation for this exam. Mahendras also has started special quizzes for this examination. This series of quizzes are based on the latest pattern of the SSC CGL examination. Regular practice of the questions included in the quizzes will boost up your preparations and it will be very helpful in scoring good marks in the examination.
Q-1 The average weight of 5 persons sitting in a boat is 38 kg. The average weight of the boat and the persons sitting in the boat is 52 kg. What is the weight of the boat?
एक नाव में बैठे हुए 5 व्यक्तियों का औसत भार 38 किग्रा. है। उसी नाव का और उसमें बैठे व्यक्तियों का औसत भार 52 किग्रा. है। तदनुसार उस नाव का भार कितना है?
(A) 105 kg./ किग्रा.
(B) 122 kg./ किग्रा.
(C) 85 kg./ किग्रा.
(D) 98 kg./ किग्रा.
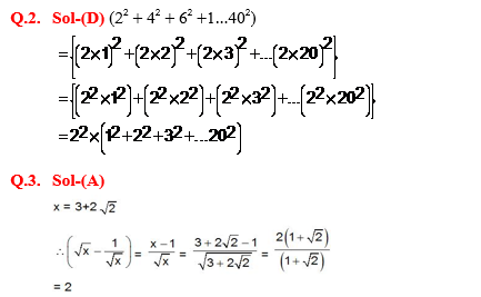
Q-2 If [12 + 22 + 32 + ........202] = 2870, then find the value of [22 + 42 + 62+ ......402].
यदि [12 + 22 + 32 + ........202] = 2870, तो [22 + 42 + 62 + ......402] का मान ज्ञात कीजिए।
(A) 10800
(B) 11440
(C) 12580
(A) 2
(B) 7
(C) 3
(D) 4
Q-4 What is the greatest number which will divide 110 and 128 leaving a remainder 2 in each case?
वह अधिकतम संख्या कौन सी है, जो 110 और 128 को विभाजित करने पर एक समान शेषफल 2 देती है?
(A) 12
(B) 15
(C) 18
(D) 24
Q-5 The sum of four consecutive even number is 748.The smallest among them is-
चार क्रमागत सम संख्याओं का योगफल 748 है। उनमें सबसे छोटी संख्या होगी-
(A) 172
(B) 184
(C) 168
(D) 159
Q-6 If a = 23 and b = – 29, then the value of 25a2 + 40ab + 16b2 is
यदि a = 23 और b = – 29, तो 25a2 + 40ab + 16b2 मान क्या होगा?
(A) 1
(B) 0
(C) -1
(D) 2
Q-7 Ravi travels 300 km. partly by train and partly by car. He takes 4 hr. to reach, if he travels 60 km. by train and rest by car. He will take 10 minutes more if he were to travel 100 km. by train and rest by car. the speed of the train is :
रवि 300 किमी. की यात्रा अंशतः रेल और अंशतः कार से करता है। उस यात्रा में उसे 4 घंटे लगते हैं, यदि वह 60 किमी. रेल से जाए और शेष कार से। उसी यात्रा में उसे 10 मिनट अधिक लगेंगे यदि वह 100 किमी. रेल से ओर शेष कार से जाए। तदनुसार रेल की गति कितनी है?
(A) 48 Km/h / किमी/घं
(B) 36 Km/h / किमी/घं
(C) 30 Km/h / किमी/घं
(D) 60 Km/h / किमी/घं
Q-8 A solid wooden toy is in the shape of a right circular cone mounted on a hemisphere. If the radius of the hemisphere is 4.2 cm. and the total height of the toy is 10.2 cm., find the volume of the wooden toy (nearly).
एक ठोस लकड़ी का खिलौना, एक गोलार्ध के ऊपर लंब वृतीय शंकु के आकार का है। यदि उसके गोलार्ध की त्रिज्या 4.2 सेमी. हो और खिलौने की पूरी ऊँचाई 10.2 सेमी. हो, तो उस लकड़ी के खिलौने का आयतन कितना होगा?
(A) 324 cm3/सेमी3
(B) 164 cm3/सेमी3
(C) 233 cm3/सेमी3
(D) 266 cm3/सेमी3
Q-9 Selling an article at a profit of 5%, Mr. X gets Rs. 150 more than selling it at a loss of 5%. Mr. X purchased the article at -
150 रू. अधिक मिल जाते हैं। तदनुसार श्रीमान X ने वह वस्तु कितने में खरीदी होगी?
(A) 1500
(B) 1200
(C) 1800
(D) 2000
Q-10 (0.5 ×5 + 0.25 ×0.5 + 0.5 × 4 + 0.5 ×0.75) is equal to-
(0.5 ×5 + 0.25 ×0.5 + 0.5 × 4 + 0.5 ×0.75) के बराबर है-
(A) 5
(B) 2
(C) 4
(D) 3
ANSWER KEY:-
Q.1. Sol-(B) Weight of the boat = 6×52 – 5×38
= 312 – 190 = 122 kg.
= 4 ×2870 = 11480
नाव का भार 6×52 – 5×38= 312 – 190 = 122 किग्रा.
Q.4. Sol-(C) The greatest number = H.C.F. of (110 – 2) and (128 – 2)
= H.C.F. of 108 and 126 = 18
Q.5. Sol-(B) Let the four consecutive even number is
x+2, x+4, x+6, x+8
25a2 + 40ab + 16b2 = (5a)2 + 2×5a×4b + (4b)2
= (5a+4b)2
= [(5×23) +4×(–29)]
= (115 – 116) = – 1
Q.7. Sol-(D)
= 0.5(5 + 0.25 +4 + 0.75)
= 0.5(5 + 5)
= 0.5 × 10 = 5

0 comments:
Post a Comment
MAHENDRA GURU