Dear Readers,
As SSC CGL notification is out and candidates have started their preparation for this exam. Mahendras also has started special quizzes for this examination. This series of quizzes are based on the latest pattern of the SSC CGL examination. Regular practice of the questions included in the quizzes will boost up your preparations and it will be very helpful in scoring good marks in the examination.
(1) The present age of a father is 3 years more than three time the age of his son. Three years hence, father’s age will be 10 years more than twice the age of the son. The father’s present age is?
पिता की वर्तमान आयु उसके पुत्र की आयु का तीन गुना से 3 वर्ष अधिक है. तीन वर्ष बाद , पिता की आयु उसके पुत्र की आयु के दुगने से 10 वर्ष अधिक है. तो पिता की वर्तमान आयु क्या है ?
(A) 33 years/वर्ष
(B) 39 years/वर्ष
(C) 45 years/वर्ष
(D) 40 years/वर्ष
(2) How many zero will be at end of the result?
परिणाम के अंत में कितने शून्य आयेंगे?
5×15×32×125×150×25×35×128×256
(A) 11
(B) 12
(C) 10
(D) 9
(3) A man can row 6 km/hr in the still water. If the river is running at 3 km/hr, it takes him 2 hours to row to a place and back. How for is the place?
एक व्यक्ति स्थिर पानी में 6 किमी./घंटा की चाल से नाव चला सकता है। यदि धारा 3 किमी./घंटा की चाल से बह रही है, तो उसका एक स्थान पर जाने और वहां से वापस प्रारम्भिक स्थान पर आने में 2 घंटे लगते हैं। दोनों स्थानों के बीच की दूरी क्या है?
(A) 2.7 km /किमी
(B) 6.2 km /किमी
(C) 5.4 km /किमी
(D) 4.5 km /किमी
(4) What number must be added to each of 4, 10, 12, 24 so that the resulting numbers are in proportion?
4, 10, 12, 24 प्रत्येक में क्या संख्या जोड़ी जाए जिससे कि परिणामी संख्या समानुपाती हो जाए?
(A) 6
(B) 8
(C) 10
(D) 4
(5) If a + b + c = 0 then (a + b - c)2 + (b + c - a)2 + (c + a - b)2 is equal to
यदि a + b + c = 0 तो (a + b - c)2 + (b + c - a)2 + (c + a - b)2 बराबर है
(A) 0
(B) 8abc
(C) 4(a2+b2+c2)
(D) 4(ab+bc+ca)
(6) The perimeter of a prism of triangular base is 15 cm and incircle radius is of 3 cm made at its base. If volume of prism is 270 cm3 then find the height of the prism.
एक त्रिभुजाकार आधार वाले प्रिज्म का परिमाप 15 सेमी है और उस त्रिभुजाकार आधार के अंतः वृत्त की त्रिज्या 3 सेमी है । यदि प्रिज्म का आयतन 270 सेमी.3 हो तो प्रिज्म की ऊँचाई ज्ञात कीजिये ।
(A) 14 cm/सेमी
(B) 12 cm/सेमी
(C) 13 cm/सेमी
(D) 7 cm/सेमी
(7) The cost of two articles are in the ratio 3 : 5. If there is 30% loss on the first article and 20% gain on the second article, what is overall percentage of loss or gain?
दो वस्तुओं की लागत का अनुपात 3 : 5 है। यदि पहली वस्तु पर 30% की हानि हो और दूसरी वस्तु पर 20% का लाभ हो तो पूरे पर लाभ या हानि क्या है?
(A) 1.25% loss/हानि
(B) 1.25% profit/लाभ
(C) 2.25% loss/हानि
(D) 2.25% profit/लाभ
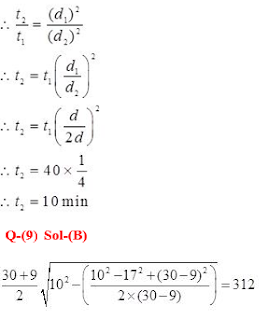
(8) A pipe of diameter d can drain a certain water tank in 40 minutes. The time taken by a pipe of diameter 2d for doing the same job?
एक पाइप जिसका व्यास d है टंकी को 40 मिनट में खली करता है तो दूसरा पाइप इसी टंकी को कितने मिनट में खाली करेगा जिसका व्यास 2d है?
(A) 5 minutes /मिनट
(B) 10 minutes/मिनट
(C) 20 minutes/मिनट
(D) 80 minutes/मिनट
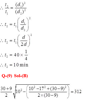
(9) AB and DC are parallel sides of a trapezium ABCD. If AB=9, BC=17, CD=30, DA=10 then find the area of the trapezium.
AB और DC समलम्ब चतुर्भुज की समान्तर भुजा हैं | यदि AB=9, BC=17, CD=30, DA=10 हैं तो समलम्ब का क्षेत्रफल ज्ञात कीजिये।
(A) 300
(B) 312
(C) 324
(D) Cannot be Determined / ज्ञात नहीं किया जा सकता
(10) A Shatabdi express train, owing to a defect in the engine, goes at 5/8 of its proper speed and arrives at 6 : 49 pm. instead of 5 : 55 pm. At what hour did it start?
एक शताब्दी एक्सप्रेस ट्रेन के इंजन में कमी आ जाने के कारण यह सामान्य चाल की 5/8 गुनी चाल से चलती है व 5 : 55 pm के स्थान पर 6 : 49 pm पर पहुंचती है। कितने बजे इसने चलना आरम्भ किया था?
(A) 4 :15 pm
(B) 4 : 15 am
(C) 4 : 25 pm
(D) 4 : 24 am
Answer key-
Q-(1) Sol-(A)
Power of/ घातांक 2 =0+0+5+0+1+0+0+7+8 =21
Power of/ घातांक 5 =1+1+0+3+2+2+1+0+0 =10
Number of zeros/ शून्यों की संख्या =10
Q-(3) Sol-(D)
Q-(4) Sol-(D)
Q-(5) Sol-(C)
a + b = -c, b + c = -a, c + a = -b
(- c - c)2 + (- a - a)2 + (- b - b)2 = 4a2 + 4b2 + 4c2
Q-(6) Sol-(B)
Q-(7) Sol-(B)
Q-(8) Sol-(B)
Q-(10) Sol-(C)

0 comments:
Post a Comment
MAHENDRA GURU