Dear Readers,
As SSC CGL & MTS notification is out and candidates have started their preparation for this exam. Mahendras also has started special quizzes for this examination. This series of quizzes are based on the latest pattern of the SSC CGL & MTS examination. Regular practice of the questions included in the quizzes will boost up your preparations and it will be very helpful in scoring good marks in the examination.
(1) On a certain sum of money, the compound interest for 2 years is Rs 420 and the simple interest is Rs 450. Find the principal.एक निश्चित राशि पर, 2 साल के लिए चक्रवृद्धि ब्याज 420 रुपये और साधारण ब्याज 450 रुपये है। मूलधन ज्ञात कीजिये।
(A) 1260
(B) 1470
(C) 1680
(D) 2100
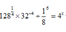
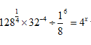
(2) If
यदि
(3) As shown diagram ABC is a triangle and DE is parallel to BC. If BD:AD=1:2, DE=6 cm and AF=12 cm, find area of triangle ABC.
जैसा कि चित्र में दिखाया गया है ABC एक त्रिभुज है और DE, BC के समानांतर है। यदि BD: AD = 1: 2, DE = 6 सेमी और AF = 12 सेमी, तो त्रिभुज ABC का क्षेत्रफल है।
(A) 108 cm2
(B) 36 cm2
(C) 54 cm2
(D) 72 cm2
(4) Find the unit place in the following term-
निम्नलिखित पद में इकाई का स्थान ज्ञात कीजिए-
(A) 6
(B) 5
(C) 8
(D) 2
(5) The LCM of two numbers is 2376 while their HCF is 33. If one of the numbers is 297, then the other number is-
दो संख्याओं का LCM 2376 है जबकि उनका HCF 33 है। यदि संख्याओं में से एक संख्या 297 है, तो दूसरी संख्या है-
(A) 244
(B) 256
(C) 264
(D) 277
(6) A person saves 25% of his salary every month. His salary is increased by 50%, thius his expenditure also increased by 60%. Find net percentage change in his saving.
एक व्यक्ति हर महीने अपने वेतन का 25% बचाता है। उनके वेतन में 50% की वृद्धि हुई है, उसके खर्च में भी 60% की वृद्धि हुई है। उसकी बचत में शुद्ध प्रतिशत परिवर्तन ज्ञात कीजिये।
(A) Increased by 12.5%
(B) Decreased by 12.5%
(C) Increased by 20%
(D) Decreased by 20%
(7) Find the time taken by a train 360 meter long to cross a man travelling in same direction at 6 km/h if speed of train in 60 km/h. (in seconds)
360 मीटर लंबी ट्रेन को 6 किमी / घंटा की गति से समान दिशा में यात्रा करने वाले व्यक्ति को पार करने लगने वाला समय ज्ञात कीजिये यदि ट्रेन की गति 60 किमी/घंटा है। (सेकंड में)
(A) 24
(B) 30
(C) 25
(D) 36
(8) If the perimeter of a triangle is 40 cm and its inradius is 5 cm, what is its area?
यदि एक त्रिभुज की परिमाप 40 सेमी है और इसका अन्तःत्रिज्या 5 सेमी है, तो इसका क्षेत्रफल क्या है?
(A) 100 cm2
(B) 120 cm2
(C) 96 cm2
(D) 80 cm2
(9) If
यदि
(A) 1/8
(B) 1/4
(C) –1/4
(D) –1/8
(10) Three coins are tossed simultaneously, find the probability of getting exactly two tails.
तीन सिक्के एक साथ उछाले जाते हैं, दो पूंछ होने की संभावना ज्ञात कीजिये।
(A) 3/4
(B) 5/8
(C) 3/8
(D) 1/2
Answer Key-
Q-(1) Sol-(2)
Q-(7) Sol-(1)
Total distance=360 meter
Speed=(60-6)/3.6=15
Required answer=360/15=24 second
Q-(8) Sol-(1)
Q-(9) Sol-(4)

0 comments:
Post a Comment
MAHENDRA GURU