
Dear Readers,
Mahendras has started special quizzes for IBPS & SBI Exam so that you can practice more and more to crack the examination. This IBPS & SBI Exam special quiz series will mold your preparations in the right direction and the regular practice of these quizzes will be really very helpful in scoring good marks in the Examination. Here we are providing you the important question of reasoning ability for the IBPS & SBI Exam.
Q.1-5. Read the following information carefully and answer the question given below.
In the question, the symbols $, %, @, © and * are used with the following meaning as illustrated below.
(1) ‘A % B’ means ‘Some B are not A’.
(2) ‘A $ B’ means ‘All A are B’.
(3) ‘A * B’ means ‘No A is B’.
(4) ‘A # B’ means ‘Some A are not B’
(5) ‘A @ B’ means ‘Some A are B’.
You have to be consider the given statement to be true then you have to analyse which of the following conclusion is definitely true.
निम्नलिखित जानकारी को ध्यान से पढ़ें और नीचे दिए गए प्रश्न का उत्तर दें।
प्रश्न में, प्रतीक $, %, @, © और * का उपयोग निम्न अर्थ के साथ किया जाता है जैसा कि नीचे उदाहरण से स्पष्ट है।
(1) ‘A% B 'का अर्थ है 'कुछ B, A नहीं हैं'।
(2) ‘A $ B ’का अर्थ है ‘सभी A B हैं’।
(3) ‘A * B’ का अर्थ है‘कोई A, B नहीं है।
(4)‘A # B’ का अर्थ है ‘कुछ A, B नहीं हैं'।
(5)‘A @ B’ का अर्थ है‘कुछ A B हैं’।
आपको दिए गए कथन को सत्य मानना है तो आपको विश्लेषण करना होगा कि निम्नलिखित में से कौन सा निष्कर्ष निश्चित रूप से सत्य है।
Q.1 Statement: W % B $ C * D # E @ F
Conclusion:
(1) W # B
(2) W # C
(3) C # B
(4) C # W
(5) E # D
कथन: W % B $ C * D # E @ F
निष्कर्ष:
(1) W # B
(2) W # C
(3) C # B
(4) C # W
(5) E # D
Q.2 Statement: W % B $ C * D # E @ F
Conclusion:
(1) D % E
(2) D% F
(3) D # F
(4) W % C
(5) C $ W
कथन: W % B $ C * D # E @ F
निष्कर्ष:
(1) D % E
(2) D% F
(3) D # F
(4) W % C
(5) C $ W
Q.3 Statement: J @ Q # R * S $ T % U
Conclusion:
(1) T @ U
(2) R @ T
(3) J # R
(4) R # Q
(5) U # S
कथन: J @ Q # R * S $ T % U
निष्कर्ष:
(1) T @ U
(2) R @ T
(3) J # R
(4) R # Q
(5) U # S
Q.4 Statement: J @ Q # R * S $ T % U
Conclusion:
(1) S # U
(2) R # U
(3) R # J
(4) U % S
(5) R % T
कथन: J @ Q # R * S $ T % U
निष्कर्ष:
(1) S # U
(2) R # U
(3) R # J
(4) U % S
(5) R % T
Q.5 Statement: T % N % O # P $ Q $ Y
Conclusion:
(1) T $ N
(2) Y $ P
(3) P # O
(4) P @ O
(5) P @ Y
कथन: T % N % O # P $ Q $ Y
निष्कर्ष:
(1) T $ N
(2) Y $ P
(3) P # O
(4) P @ O
(5) P @ Y
Q.6-10. Study the following information carefully and answer the questions given below it.
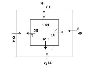
Eight persons M, N, O, P, Q, R, S and T are sitting around a two concentric square-shaped garden such that the smaller garden is inscribed in a larger garden. Four persons are sitting along the middle of the edges of the inner garden and facing outside the centre and remaining persons are sitting along the middle of the edges of the outer garden and facing inside the centre. Persons sitting in the inner garden are exactly facing the person in the outer garden. Each of them had a different number of chocolates 4, 9, 16, 25, 36, 49, 64 and 81 but not necessarily in the same order.
T and O are sitting opposite to each other. The one who has the third-highest number of chocolates sits second to the left of O. S and P are seated in the same garden. R has an odd number of chocolates but not 9 number of chocolates. The average number of chocolates of S and P is equal to the sum of the numbers of the chocolates of Q and O. The one who has 16 chocolates and Q are seated in a different garden. Q faces north. The one who has chocolates which is multiple of 5 is seated North-west direction with respect to Q. N has the highest number of chocolates and sits in the North-east direction with respect to the one who has 25 chocolates. M and N are seated in different gardens. M sits from the south-east direction with respect to T. S is not an immediate neighbour of the one who has the second-lowest number of Chocolates. The one who sits to the immediate left of S has the least number of chocolates than him. Q has more number of chocolates than O.
निम्नलिखित जानकारी का ध्यानपूर्वक अध्ययन करें और नीचे दिए गए प्रश्नों के उत्तर दें।
आठ व्यक्ति M, N, O, P, Q, R, S और T एक दो संकेंद्रित चौकोर आकार के बगीचे के चारों ओर बैठे हैं जैसे कि छोटा बगीचा एक बड़े बगीचे में खुदा हुआ है। चार व्यक्ति आंतरिक बगीचे के किनारों के बीच में बैठे हैं और केंद्र के बाहर की ओर देख रहे हैं और शेष व्यक्ति बाहरी बगीचे के किनारों के बीच में बैठे हैं और केंद्र की ओर देख रहे हैं। भीतर के बगीचे में बैठे व्यक्ति बाहरी बगीचे में बैठे व्यक्तियों की ओर देख रहे हैं। उनमें से प्रत्येक के पास अलग-अलग संख्या में चॉकलेट 4, 9, 16, 25, 36, 49, 64 और 81 थी लेकिन जरूरी नहीं कि इसी क्रम में हों।
T और O एक-दूसरे के विपरीत बैठे हैं। वह जिसके पास तीसरी सबसे बड़ी संख्या में चॉकलेट है वह O के बाईं ओर दूसरा बैठा है। S और P एक ही बगीचे में बैठे हैं। R में के पाल विषम संख्या में चॉकलेट हैं, लेकिन उसके पास 9 चॉकलेट नहीं हैं। S और P की चॉकलेट्स की औसत संख्या Q और O की चॉकलेट्स की संख्या के योग के बराबर है। जिसके पास 16 चॉकलेट है और Q अलग-अलग बगीचे में बैठे है। Q उत्तर की ओर देखता है। वह व्यक्ति जिसके पास 5 के गुणक में चॉकलेट है वह Q के संबंध में उत्तर-पश्चिम दिशा में बैठा है। N के पास सबसे अधिक संख्या में चॉकलेट है और वह जिस व्यक्ति के पास 25 चॉकलेट हैं उसके संबंध में पूर्वोत्तर दिशा में बैठा है। M और N अलग-अलग बगीचों में बैठे हैं। M, T के संबंध में दक्षिण-पूर्व दिशा से बैठा है। S उस व्यक्ति का तत्काल पड़ोसी नहीं है जिसके पास चॉकलेट की संख्या दूसरी-सबसे कम है। S के तत्काल बाएं जो बैठा है, उसके पास चॉकलेट की संख्या सबसे कम है। Q के पास O से अधिक चॉकलेट्स हैं।
Q.6 Which of the following statement is true?
(1) P has least number of chocolates
(2) The sum of number of chocolates of P and M is even number.
(3) M and S are sitting opposite to each other
(4) Q sits immediate right of the one who has least number of chocolates
(5) None of the option is correct
निम्नलिखित में से कौन सा कथन सत्य है?
(1) P में चॉकलेट की संख्या कम से कम है
(2) P और M के चॉकलेट की संख्या का योग सम संख्या है।
(3) M और S एक दूसरे के विपरीत बैठे हैं
(4) Q उस व्यक्ति के तत्काल दाईं ओर बैठा है जिसके पास कम से कम चॉकलेट हैं
(5) कोई भी विकल्प सही नहीं है
Q.7 What is the sum of number of chocolates of all the persons who are seated in outer garden?
(1) 180
(2) 170
(3) 114
(4) 182
(5) None of the option is correct
बाहरी उद्यान में बैठने वाले सभी व्यक्तियों की चॉकलेट की संख्या कितनी है?
(1) 180
(2) 170
(3) 114
(4) 182
(5) कोई भी विकल्प सही नहीं है
Q.8 Who among them are seated in a inner garden?
(1) M, T, P, N
(2) O, T, R, Q
(3) M, S, T, P
(4) N, R, P, M
(5) M, N, P, R
उनमें से कौन एक आंतरिक बगीचे में बैठा है?
(1) M, T, P, N
(2) O, T, R, Q
(3) M, S, T, P
(4) N, R, P, M
(5) M, N, P, R
Q.9 The difference between number of chocolates of T and M is equal to number of chocolates of _____.
(1) N
(2) P
(3) R
(4) M
(5) S
T और M की चॉकलेट की संख्या के बीच का अंतर _____ की चॉकलेट की संख्या के बराबर है।
(1) N
(2) P
(3) R
(4) M
(5) S
Q.10 Four of the five among the following are similar in such a way to form a group, which one of the following doesn’t belong to the group?
(1) S, 64
(2) N, 81
(3) R, 49
(4) O, 4
(5) M, 16
निम्नलिखित में से चार में से चार समूह बनाने के लिए इस तरह से हैं, जो निम्न में से एक समूह से संबंधित नहीं है?
(1) S, 64
(2) N, 81
(3) R, 49
(4) O, 4
(5) M, 16
ANSWER-
Q.1. 4
0 comments:
Post a Comment
MAHENDRA GURU