Dear Readers,Mahendras has started special quizzes for IBPS & SBI Exam so that you can practice more and more to crack the examination. This IBPS & SBI Exam special quiz series will mold your preparations in the right direction and the regular practice of these quizzes will be really very helpful in scoring good marks in the Examination. Here we are providing you the important question of reasoning ability for the the IBPS & SBI Exam.
(1)What approximate value should come at place of question mark (?) in the following question?
निम्नलिखित प्रश्न में प्रश्न चिह्न(?) के स्थान पर लगभग क्या मान आना चाहिए ?
(1) 
(1) 8
(2) 3
(3) 11
(4) 6
(5) 2
(2) 
(1) 144
(2) 49
(3) 256
(4) 81
(5) 8
(3) 12.8972+13.0432-17.9962=?
(1) 40
(2) 34
(3) 24
(4) 39
(5) 14
(4) 
(1) 26
(2) 41
(3) 29
(4) 50
(5) 62
(5) 18.97×45.23-35.88×12.11=?% of 845.66
(1) 25
(2) 30
(3) 45
(4) 65
(5) 50
(6) 
(1) 100
(2) 95
(3) 105
(4) 85
(5) 75
(7) The simple interest accrued on an amount of Rs. 8500 at the end of four years is Rs.3400. What would be the compound interest accrued on the same amount at the same rate of interest after three years?
8500 रुपये की राशि पर चार वर्ष के अंत में अर्जित साधारण ब्याज 3400 रुपये है । तीन वर्ष पश्चात उसी ब्याज दर पर समान राशि पर अर्जित चक्रवृद्धि ब्याज क्या होगा?
(1) 2560.25 Rs
(2) 2813.5 Rs
(3) 2740 Rs
(4) 2944 Rs
(5) None of these
(8) Ratio of age of father, mother and son is 9:8:3. Five years hence sum of their age will be 95 years. Find the age of son 5 years ago.
पिता, मां और पुत्र की आयु 9: 8: 3 है पांच वर्ष पश्चात उनकी आयु का योग 95 वर्ष होगा । 5 वर्ष पहले पुत्र की आयु ज्ञात कीजिये।
(1) 12 years
(2) 7 years
(3) 10 years
(4) 15 years
(5) None of these
(9) Ganesh, Shankar and Sameer invested Rs. 4200, Rs. 8400 and 5400 respectively while starting a business. At the end of the year, they earned a profit of Rs. 24,000. Sameer invested 32% of .his share of the profit in a saving scheme. How much amount he is left with?
गणेश, शंकर और समीर ने क्रमशः 4200 रु, 8400 रु और 5400 रु निवेश के साथ व्यापार प्रारम्भ किया । वर्ष के अंत में, उन्होंने 24,000 रुपये का लाभ अर्जित किया। समीर ने अपने लाभ का 32% हिस्सा बचत योजना में निवेश किया। उसके पास शेष धन क्या है?
(1) 4280 Rs
(2) 4652 Rs
(3) 5520 Rs
(4) 4896 Rs
(5) None of these
(10) In a mixture of milk and water milk is found to be 28%. When 16 litre water is added in the mixture new percentage of milk in mixture becomes 20%. Find the initial quantity of mixture.
दूध और पानी के मिश्रण में दूध 28% है। जब मिश्रण में 16 लीटर पानी मिलाया जाता है तो मिश्रण में दूध का नया प्रतिशत 20% हो जाता है। मिश्रण की प्रारंभिक मात्रा ज्ञात कीजिये।
(1) 42 litre
(2) 48 litre
(3) 36 litre
(4) 40 litre
(5) None of these
Answer Key-
Q-(1) Sol-(1)
48×87÷72=?2-8
?2=66
?=8.12 ˜ 8
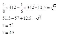
Q-(2) Sol-(2)
Q-(3) Sol-(5)
169+169-324=14
Q-(4) Sol-(1)
14+33-13=34=25.95%of132
Q-(5) Sol-(5)
19×45-36×12=423=50% of 846
Q-(6) Sol-(3)
Q-(8) Sol-(2)
Sum of their present age=95-15=80 years
Present age of son=
Required answer=12 - 5=7 years
Q-(9) Sol-(4)
Ratio of profit sharing=7 : 14 : 9
share of Sameer=
required answer=68% of 7200=4896
Q-(10) Sol-(4)
Taking
percentage of milk
28
0
20
20
8 = 5 : 2
now 2=16
so 5=40
0 comments:
Post a Comment
MAHENDRA GURU