Dear Readers,
As SSC CPO notification is out and candidates have started their preparation for this exam. Mahendras also has started special quizzes for this examination. This series of the quizzes are based on the latest pattern of the CPO examination. Regular practice of the questions included in the quizzes will boost up your preparations and it will be very helpful in scoring good marks in the examination.
(1) If the sum of a number and its reciprocal be 2, then the number is
यदि एक संख्या और उसके पारस्परिक का योग 2 हो, तो संख्या है
(A) 0
(B) 1
(C) -1
(D) 2
(2) The price of a shirt after 15% discount, is Rs.119. What was the marked price of the shirt before discount?
15% छूट के बाद शर्ट की कीमत, 119 रुपये है। डिस्काउंट से पहले शर्ट का अंकित मूल्य क्या था ?
(A) Rs.129
(B) Rs.140
(C) Rs.150
(D) Rs.160
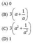
(A) 0
(B) 1
(C) 2
(D) -1
(4) The average of a,b,c is 20 and that of b,c,d is 25, if d=30, then the value of a is
a,b,c का औसत 20 और b,c,d का औसत 25 है, यदि D = 30 हैं, तो A का मान है
(A) 25
(B) 45
(C) 30
(D) 15
(5) A store sells a watch for a profit of 25% of the cost. Then the percentage of profit against selling price is
एक दुकान लागत के 25% लाभ पर एक घड़ी बेचता है |तो विक्रय मूल्य पर उसका लाभ प्रतिशत है
(A) 22%
(B) 20%
(C) 18%
(D) 15%
(6) If A is equal to 20% of B and B is equal to 25% of C; then what percent of C is equal to A?
यदि A, B के 20% के बराबर है और B, C के 25% के बराबर है; तो C का कितना प्रतिशत A के बराबर है?
(A) 10
(B) 15
(C) 5
(D) 20
(7) A gun is fired at a distance of 1.7 km from Ram and he hears the sound after 25 seconds. The speed of sound in meter per second is
राम से 1.7 किमी की दूरी पर एक बंदूक की गोली चलाई जाती है और 25 सेकंड के बाद उसे आवाज सुनाई देती है। ध्वनि की चाल मी/सें है-
(A) 60
(B) 62
(C) 64
(D) 68
(8) A sum of ₹ 3000 yields an interest of ₹ 1080 at 12% per annum simple interest in how many years ?
₹ 3,000 की राशि ₹ 1080 का साधारण ब्याज कितने वर्षों में 12% प्रति वर्ष की दर से प्राप्त होगा ?
(A) 4 Years
(B) 3 Years
(C) 5 years
(D) 2½ Years
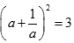
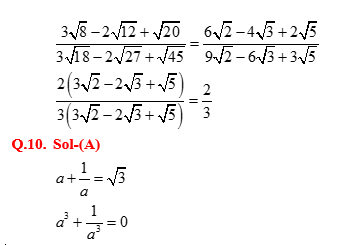
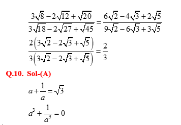
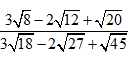
(A) 3/2
(B) ⅔
(C) ⅓
(D) 2
Answer Key-
Q.8. Sol-(B)
Q.9. Sol-(B)

0 comments:
Post a Comment
MAHENDRA GURU