Dear Readers,
As SSC CPO notification is out and candidates have started their preparation for this exam. Mahendras also has started special quizzes for this examination. This series of the quizzes are based on the latest pattern of the CPO examination. Regular practice of the questions included in the quizzes will boost up your preparations and it will be very helpful in scoring good marks in the examination.
(1) The point of intersection of the graphs of the equation 3x – 5y = 19 and 3y – 7x + 1 = 0 is
समीकरण 3x – 5y = 19 और 3y – 7x + 1 = 0 के ग्राफ का प्रतिच्छेद बिंदु
(A) -1
(B) -2
(C) 0
(D) 1
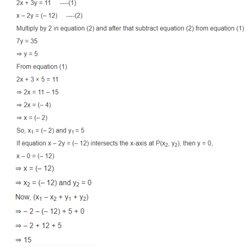
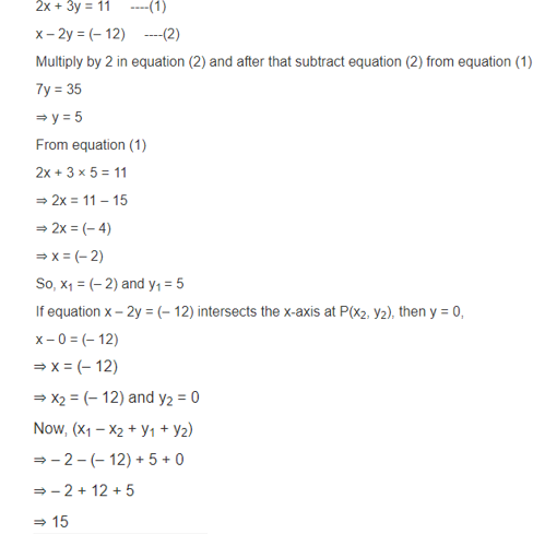
(A) 13
(B) -11
(C) 15
(D) -9
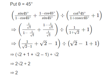
(A) 54°
(B) 67°
(C) 71°
(D) 63°
(4) In a solid cylinder of a metal, the total surface area is three times of curved surface area, then find the ratio of its diameter to its height?
धातु की एक ठोस बेलन में , सम्पूर्ण पृष्ठ क्षेत्रफल , वक्र पृष्ठ क्षेत्रफल का तीन गुना है , तो उसके व्यास और ऊंचाई का अनुपात ज्ञात कीजिये ?
(A) 4:1
(B) 2:1
(C) 5:2
(D) 1:1
(5) If the volume of right prism having triangular base with sides 20cm, 21cm and 29cm, is 7560 cm^2. Then find its lateral surface area (in cm^3)
यदि एक समकोण प्रिज्म का आयतन , जिसका आधार 20cm, 21cm और 29cm भुजा वाला एक त्रिभुज है , 7560 cm^2 है , तो प्रिज्म का पार्श्व पृष्ठ क्षेत्रफल ज्ञात कीजिये? (cm^3)
(A) 2448
(B) 2556
(C) 2484
(D) 2520
(A) 2
(B) 1/2
(C) 3/2
(D) 1
Q-(8-10) Direction: The given pie chart shows the quantity wise sales distribution of five products (A,B,C,D and E) of a company in 2016.
Quantity wise sales distribution of five products (A,B,C,D and E)
निर्देश : दी गयी पाई चार्ट 2016 में एक कम्पनी के पांच उत्पादों (A,B,C,D और E) की मात्रा-वार बिक्री वितरण को दर्शाता है.
पांच उत्पादों (A,B,C,D और E) की मात्रा-वार बिक्री वितरण
(8) If 320 units of product A were sold by the company, then how many units of products B and E together were sold by the company?
यदि कम्पनी द्वारा उत्पाद A की 320 इकाइयाँ बेची गईं, तो B और E उत्पादों की कितनी इकाइयाँ कम्पनी द्वारा बेचीं गई ?
(A) 576
(B) 640
(C) 567
(D) 512
(9) If 1500 units of product D were sold in 2016 and the total number of units sold by the company in 2017 was 18% more than sold in 2016, then the total unitsnsold by the company in 2017 are?
यदि 2016 में उत्पाद D की 1500 इकाइयाँ बेचीं गईं और 2017 में कम्पनी द्वारा बेची गयी इकाइयों की कुल संख्या 2016 में बेचीं गईं इकाइयों की तुलना में 18% अधिक थी , तो 2017 में कम्पनी द्वारा बेचीं गयी कुल इकाइयां कितनी हैं ?
(A) 6372
(B) 6354
(C) 6336
(D) 6390
(10) In 2016, if a total of 14616 units were sold, then the number of units of products D sold was?
2016 में ,यदि कुल 14616 इकाइयाँ बेचीं गयीं, तो उत्पाद D की बेची गयी इकाइयों की संख्या क्या है ?
(A) 4263
(B) 4060
(C) 4872
(D) 4096
Answer Key-
Q-(1) Sol-(A)
Q-(8) Sol-(A)

0 comments:
Post a Comment
MAHENDRA GURU