Dear Readers,
As SSC CPO notification is out and candidates have started their preparation for this exam. Mahendras also has started special quizzes for this examination. This series of the quizzes are based on the latest pattern of the CPO examination. Regular practice of the questions included in the quizzes will boost up your preparations and it will be very helpful in scoring good marks in the examination.
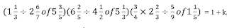
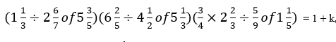
Q.1. If x =
यदि x =
(A) 488
(B) 504
(C) 476
(D) 472
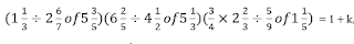
Q.2. If
यदि
(A) 12
(B) -12
(C) 15
(D) 9
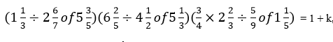
Q.4.The value of
(A) -0.05 and/और -0.04
(B) -0.07 and/और -0.06
(C) -0.08 and/और -0.07
(D) -0.06 and/और -0.05
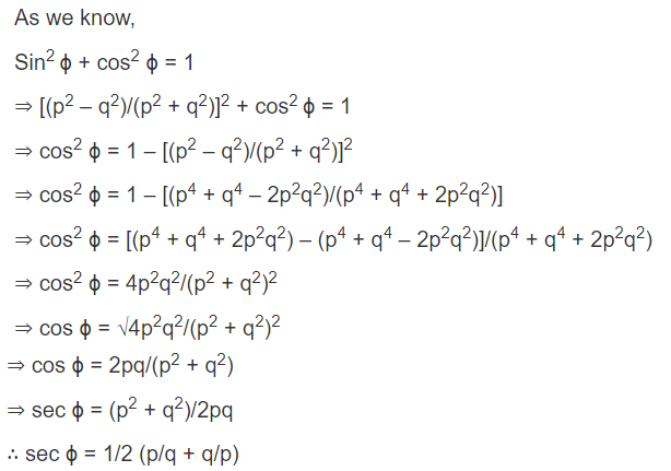
Q.6. In a quadrilateral PQRS, a circle is drawn inside the quadrilateral such that the circle touches sides PQ, QR, RS and SP at the points W, X, Y and Z respectively. And
एक चतुर्भुज PQRS में, एक वृत्त चतुर्भुज के अन्दर इस प्रकार से खीचा जाता है कि, वृत्त चतुर्भुज की क्रमशः भुजाओं PQ, QR, RS, और SP को बिंदु W,X,Y और Z पर छूता है और
(A) 20π
(B) 18π
(C) 15π
(D) 21π
Q. 7. ∆PMN and ∆QMN are on the same base MN but on opposite sides of it. PQ and MN intersects each other perpendicularly at O. If PO = a cm, QO = b cm, then what is the area of ∆QMN (in cm2)
∆PMN और ∆QMN एक ही आधार MN पर हैं लेकिन इसके विपरीत भुजाओं पर हैं PQ और MN एक- दूसरे को लम्ब के रूप में O पर प्रतिक्छेद करते हैं यदि PO = a सेमी , QO = b सेमी है , तो ∆QMN का क्षेत्रफल ज्ञात कीजिये ? (cm2)
Q.8. A shopkeeper marks up his article at such a price that he can make a profit of 36%. But at such higher price for that article no one is ready to purchase so he gives 40% discounts on it. Then find his overall profit % or loss%?
एक दुकानदार अपनी वस्तु को इस तरह से अंकित करता है कि अंकित मूल्य पर बेचने पर वह 36% का लाभ कम सके. लेकिन उसे वस्तु को 40% की छूट के साथ बेचना पड़ता है तो उसका लाभ या हानि प्रतिशत ज्ञात कीजिये ?
(A) 16.8% loss
(B) 18.4%loss
(C) 4%profit
(D) 1.5%loss
Q.9. In a company 1/3rd of the total employees are females and rest are males. If 37.5% of male employees and 40% of the female employees are temporary employees and the total number of permanent employees is 740. Then find the difference between
एक कंपनी में कुल कर्मचारियों का 1/3 भाग महिलाएं है और शेष पुरुष हैं . यदि पुरुषों का 37.5% और महिलाओं का 40% अस्थायी कर्मचारी हैं और कुल स्थायी कर्मचारी 740 हैं ,तो कुल कर्मचारियों का
(A) 320
(B) 340
(C) 308
(D) 400
Q.10. Ravi borrowed Rs.7200 from Kavi at 20% p.a. for
रवि , कवि से 7200 रुपये 20% वार्षिक ब्याज दर से
(A) 3960
(B) 4290
(C) 3997
(D) 4205
Answer Key-
Q-(1) Sol-(A)
Now we can say that,
WQ XO is a square. So , WQ = QX = XO = WO
PS = PZ + ZS
PS = PZ + SY [SZ=SY=Tangents]
24 = PZ+6
PZ = 18 cm
PQ = PW+WQ
PQ = PZ + WQ
27 = WQ + 18
WQ = 9cm
∴ Radius of incircle = 9 cm
∴ Circumference of circle = 2πr = 2×9×π = 18π
Q-(7) Sol-(A)
Q-(10) Sol-(C)

0 comments:
Post a Comment
MAHENDRA GURU