Dear Readers,
As SSC CPO notification is out and candidates have started their preparation for this exam. Mahendras also has started special quizzes for this examination. This series of the quizzes are based on the latest pattern of the CPO examination. Regular practice of the questions included in the quizzes will boost up your preparations and it will be very helpful in scoring good marks in the examination.
(1-5) Read the following information carefully to answer the questions asked-
Following table chart gives the information about overall literacy rate and literacy rate among male and females separately in four villages.
पूछे गए प्रश्नों के उत्तर देने के लिए निम्नलिखित जानकारी को ध्यानपूर्वक पढ़ें-
निम्नलिखित तालिका चार्ट चार गाँवों में संयुक्त साक्षरों का प्रतिशत तथा पुरुष और महिलाओं में अलग-अलग साक्षरता दर के बारे में जानकारी देती है।
(1) Find the total population of village B.
गांव B की कुल आबादी ज्ञात कीजिये।
(A) 1050
(B) 1250
(C) 1200
(D) 1100
(2) Find the total male population of village C and D.
गांव C और D की कुल पुरुष आबादी ज्ञात कीजिये।
(A) 2650
(B) 2750
(C) 2275
(D) 2775
(3) Number of males in village A is how much percent more than the number of males in village C?
गांव A में पुरुषों की संख्या गांव C में पुरुषों की संख्या से कितने प्रतिशत अधिक है?
(A) 16.67%
(B) 25%
(C) 20%
(D) 33.33%
(4) Find the difference of average number of males and females in village A and B.
गांव A और B में पुरुषों और महिलाओं की औसत संख्या का अंतर ज्ञात कीजिये।
(A) 240
(B) 275
(C) 225
(D) 180
(5) Find the ratio of total population of village B and D.
गांव B और D की कुल आबादी का अनुपात ज्ञात कीजिये।
(A) 48:71
(B) 36:55
(C) 44:63
(D) 8:7
(6) A train of length 135 meter crosses a man coming from opposite with a speed of 8 Km/h direction in 9 seconds. Find the time taken by train to cross a another passenger train whose length is 150 meters and also coming from opposite direction with speed of 14 Km/h.(In seconds)
135 मीटर लंबाई की एक ट्रेन 8 किमी / घंटा की गति के साथ विपरीत दिशा से आ रहे एक व्यक्ति को 9 सेकंड में पार करती है। इसी ट्रेन दारा विपरीत दिशा से 14 किमी / घंटा की गति से आ रही दूसरी पैसेंजर ट्रेन जिसकी लम्बाई 150 मीटर को पार करने में लगे समय को गणना कीजिये? (सेकंड में)
(A) 16.8
(B) 15.5
(C) 14.2
(D) 17.1
(7) The difference between the sum of four consecutive odd numbers and three consecutive even numbers together is 40. Also, the largest even number is 5 more than the largest odd number. What is the sum of the smallest odd number and the smallest even number?
चार क्रमागत विषम संख्याओं के योग और और तीन क्रमागत सम संख्याओं के योग के बीच अंतर 40 है। सबसे बड़ी सम संख्या सबसे बड़ी विषम संख्या से 5 अधिक है । सबसे छोटी विषम संख्या और सबसे छोटी सम संख्या का योग क्या है?
(A) 23
(B) 28
(C) 33
(D) 30
(8) A shopkeeper marks up the price of his product by 25%. If he increases the discount from 5% to 10% ,the profit would decrease by Rs 14. How much profit would he earn if he gives a discount of 15% on the marked price?
एक दुकानदार ने अपने उत्पाद की कीमत 25% अधिक अंकित की। अगर वह छूट प्रतिशत 5% से 10% बढ़ाता है, तो लाभ 14 रुपए घट जाएगा । वह कितना लाभ प्राप्त करेगा यदि वह अंकित मूल्य पर 15% की छूट देता है?
(A) 5 Rs/रुपये
(B) 10 Rs/रुपये
(C) 25 Rs/रुपये
(D) 35 Rs/रुपये
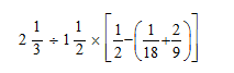
(9) Find the value of the following term-/
निम्नलिखित पद का मान ज्ञात कीजिये-
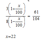
(10) The value of a fraction is
. When the numerator is increased by a certain percentage and the denominator is decreased by the same percentage the value of the fraction become
Find the required percentage.
एक भिन्न का मान
है। जब अंश में एक निश्चित प्रतिशत वृद्धि की जाती है तथा हर में समान प्रतिशत कमी की जाती है तो भिन्न का मान
हो जाता है तो अभीष्ट प्रतिशत ज्ञात कीजिए है ?
(A) 20%
(B) 25%
(C) 33.33%
(D) 22%
Answer Key-
Q-(1) Sol-(D)
Required answer/अभीष्ट उत्तर=400+700=1100
From alligation rule/मिश्रण के नियम से
74 85
एक भिन्न का मान
(A) 20%
(B) 25%
(C) 33.33%
(D) 22%
Answer Key-
Q-(1) Sol-(D)
Required answer/अभीष्ट उत्तर=400+700=1100
From alligation rule/मिश्रण के नियम से
74 85
81
4 7
here/यहाँ 7=700
so/अतः 11=1100
Q-(2) Sol-(D)
Required answer/अभीष्ट उत्तर=1200+1575=2775
Q-(5) Sol-(C)
Required answer/अभीष्ट उत्तर=1100:1575=44:63
Q-(6) Sol-(D)
Odd/विषम x-6 x-4 x-2 x
Now/अब (3x+9)-(4x-12)=40
x=19
Required answer/अभीष्ट उत्तर=13+20=33
Q-(10) Sol-(D)
Let the percentage increase and decrease be x%.
माना प्रतिशत वृद्धि तथा प्रतिशत कमी x% है .

0 comments:
Post a Comment
MAHENDRA GURU