Dear Readers,
As SSC CPO notification is out and candidates have started their preparation for this exam. Mahendras also has started special quizzes for this examination. This series of the quizzes are based on the latest pattern of the CPO examination. Regular practice of the questions included in the quizzes will boost up your preparations and it will be very helpful in scoring good marks in the examination.
Q-1 The average weight of 5 persons sitting in a boat is 38 kg. The average weight of the boat and the persons sitting in the boat is 52 kg. What is the weight of the boat?
एक नाव में बैठे हुए 5 व्यक्तियों का औसत भार 38 किग्रा. है। उसी नाव का और उसमें बैठे व्यक्तियों का औसत भार 52 किग्रा. है। तदनुसार उस नाव का भार कितना है?
(A) 105 kg./ किग्रा.
(B) 122 kg./ किग्रा.
(C) 85 kg./ किग्रा.
(D) 98 kg./ किग्रा.
Q-2 If [12 + 22 + 32 + ........202] = 2870, then find the value of [22 + 42 + 62 + ......402].
यदि [12 + 22 + 32 + ........202] = 2870, तो [22 + 42 + 62 + ......402] का मान ज्ञात कीजिए।
(A) 10800
(B) 11440
(C) 12580
(B) 7
(C) 3
(D) 4
Q-4 What is the greatest number which will divide 110 and 128 leaving a remainder 2 in each case?
वह अधिकतम संख्या कौन सी है, जो 110 और 128 को विभाजित करने पर एकसमान शेषफल 2 देती है?
(A) 12
(B) 15
(C) 18
(D) 24
Q-5 The sum of four consecutive even number is 748.The smallest among them is-
चार क्रमागत सम संख्याओं का योगफल 748 है। उनमें सबसे छोटी संख्या होगी-
(A) 172
(B) 184
(C) 168
(D) 159
Q-6 Let A, B, C, D be the angles of a quadrilateral. If they are concyclic, then the value of cos A + cos B + cos C + cos D is -
A, B, C, D चतुर्भुज के कोण है। यदि वे एक वृत्तीय हो तो cos A + cos B + cos C + cos D का मान बताएं।
(A) 0
(B) 1
(C) 2
(D) – 1
Q-7 If / यदि tan
(A) 1/21
(B) 2/21
(C) 4/21
(D) 8/21
Q-8 The digit in unit's place of the product 49237 × 3995 × 738 × 83 × 9 is
49237 × 3995 × 738 × 83 × 9 के गुणनफल का इकाई के स्थान का अंक बताएं।
(A) 0
(B) 1
(C) 2
(D) 3
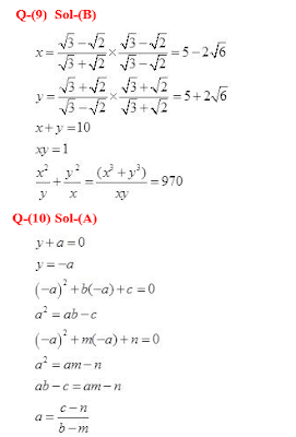
Q-9 If / यदि
(A) 990
(B) 970
(C) 1000
(D) 1100
Q-10 If the common factor of y2+by+c and y2 + my + n is (y + a), then the value of a is?
यदि y2+by+c और y2 + my + n का उभयनिष्ठ गुणनफल (y + a) हैं, तो a का मान ज्ञात कीजिये ?
Answer Key-
Q-(1) Sol-(B)
Weight of the boat = 6×52 – 5×38
= 312 – 190 = 122 kg.
The greatest number = H.C.F. of (110 – 2) and (128 – 2)
= H.C.F. of 108 and 126 = 18

0 comments:
Post a Comment
MAHENDRA GURU