Dear Readers,As SSC CPO notification is out and candidates have started their preparation for this exam. Mahendras also has started special quizzes for this examination. This series of the quizzes are based on the latest pattern of the CPO examination. Regular practice of the questions included in the quizzes will boost up your preparations and it will be very helpful in scoring good marks in the examination.
Q-(1). In a mixture of three varities of pulses , the ratio of their weight is 4 : 5 : 8. If 5 kg of pulses of the first variety, 10 kg of the second variety and some quantity of pulses of the third variety are added to the mixture , the ratio of the weights of three varieties of pulses becomes as 5 : 7 : 9 . in the final mixture , find the quantity of third variety of pulses was : ?
तीन प्रकार की दाले जिनके भारो का अनुपात 4 : 5 : 8. यदि 5 किलोग्राम पहली प्रकार की दाल , 10 किलोग्राम की दूसरी दाल और कुछ मात्र की तीसरी दाल मिले जाती है तो भार का अनुपात 5 : 7 : 9 . हो जाता है तीसरी मिलाये गए दाल की मात्रा ज्ञात कीजिये?
(A) 42
(B) 48
(C) 40
(D) 45
Q-(2). A person started his journey in the morning. At 11.a.m he covered 3/8 of the jouney and on the same day at 4.30 p.m. he covered 5 /6 of the journey. He started his jouney at ?
एक व्यक्ति अपनी यात्रा सुबह प्रारम्भ करता है 11 बजे तक वह अपनी यात्रा का 3/8 हिस्सा तय करता है और शाम को 4.30 तक वह अपनी यात्रा का 5 /6 हिस्सा पूरा करता है तो उसने यात्रा कितने बजे प्रारम्भ की ?
(A) 6.00 a.m.
(B) 3.30 a.m.
(C) 7.00 a.m.
(D) 6.30 a.m.
Q-(3). A person can row 7.5 Kman hour in still water and he finds that it takes him twice as long to row up as to row down the river. The speed of the stream?
एक व्यक्ति की चाल शांत जल में 7.5 किमी /घंटा है धारा की विपरीत दिशा में एक विशेष दूरी तय करने में धारा की दिशा की तुलना वह दुगना समय लेती है धारा की चाल ज्ञात कीजिये
(A) 2 km/h
(B) 3 km/h
(C) 2.5 km/h
(D) 3.5 km/h
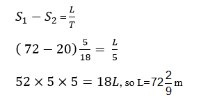
Q-(4). Two trains are running 72 km/h and 20km/h respectively in the same direction. The faster train and crosses a man sitting in the slower train in 5 sec. the length of the slower train is 50 m. Find the length of faster train?
दो रेलगाड़िया में एक ही दिशा में क्रमश: 72 किमी / घंटा और 20 किमी / घंटे चल रही हैं। तेजी गति वाली ट्रेन एक आदमी को 5 सेकंड में पार करती है। जो धीमी ट्रेन में बैठा है धीमी ट्रेन की लंबाई 50 मीटर है। तेजी से ट्रेन की लंबाई का पता लगाएं?
(A)
(B) 72 m
(C)
(D)
m
Q-(5). A contractor undertake to finish a certain work in 124 days and employed 120 men. After 64 days, he found that he had already done 2/3 of the work. How many men can be discharged so that the work may finish in time ?
एक ठेकेदार ने 124 दिनों में किसी काम को पूरा करने का ठेका लिया। उसने 120 व्यक्ति कार्य पर लगाये परन्तु 64 दिन में 2 /3 कार्य ही हो पाया तो कितने व्यक्ति को हटाया जाये की कार्य समय पर समाप्त हो जाये?
(A) 50
(B) 48
(C) 56
(D) 64
Q-(6). a, b , c , d , e , f, g , are consecutive even number j , k , l , m, n are consecutive odd numbers. The average of all numbers?
a, b , c , d , e , f, g , सम क्रमागत संख्याये है j , k , l , m, n विषम क्रमगत संख्याये है तो सबका औसत ज्ञात कीजिये
Q-(7). A cloth merchant sold half of his cloth at 40 % profit, half of remaining at 40% loss and the rest was sold at the cost price. In the total transaction his gain or loss will be?
एक कपडा व्यापारी आधे कपडे को 40 % के लाभ पर बेचता है बचे हुए का आधा 40 % के हानि पर और जितना बचता है उसे वह क्रय मूल्य पर बेचता है उसे कुल कितना लाभ कितनी हानि हुई
(A)20 % gain
(B) 25 % loss
(C) 10 % gain
(D) 15 % loss
Q-(8). A 160 metre long train crosses a 160 metre long platform in 16 second. Find the speed of the train?
एक 160 मीटर लम्बी ट्रेन एक 160 मीटर लम्बे प्लेटफार्म को 16 सेकंड में पार करती है ट्रेन की गति क्या है?
(A) 45
(B) 60
(C) 72
(D) 75
Q-(9). At each corner of a triangular field of sides 26m, 28m, and 30m, a cow is tethered by a rope of length 7m. the area ungrazed by the cow?
एक त्रिभुज जिसकी भुजाये 26m, 28m, and 30m है गाय को तीनो कोनो में बंधा जाता है तो गाय कितना हिस्सा नहीं खा सकती है ?
(A) 336
(B) 259
(C) 154
(D) 77
Q-(10).
then find the value of
is
तो मान ज्ञात कीजिये 
(A)
(B) 4
(C) -4
(D) 
Answer Key-
Q.1. Sol-(D) Let the ratio of initial quantity be x i.e 4. Let a be quantity of extra pulses. So
according to question,
Q.2. Sol-(D)
Q.3. Sol-(C) Let the speed of stream be
Q.4. Sol-(A) when train is moving in same direction then
Q.5. Sol-(C ) Days remaining 124 – 64 =60 days
Q.6. Sol-(B) Average of a ,b, c, d, e, f, g be d.
Q.7. Sol-(C) let the merchant bought 100 metres of cloth for Rs. 100
Q.8. Sol-(C)
Q.9. Sol-(B)
Q.10. Sol-(B)
0 comments:
Post a Comment
MAHENDRA GURU