Dear Readers,
Mahendras has started special quizzes for IBPS & SBI Exam so that you can practice more and more to crack the examination. This IBPS & SBI Exam special quiz series will mold your preparations in the right direction and the regular practice of these quizzes will be really very helpful in scoring good marks in the Examination. Here we are providing you the important question of reasoning ability for the IBPS & SBI Exam.
(1) (4.5)3.7 × (20.25)1.3 ÷ (91.125)1.8 = (4.5)?+5.2
(1) 6.5
(2) 5.6
(3) 6.3
(4) 5.9
(5) 6
(2) (207)2 + 20% of 200 ×
(1) 12800
(2) 12809
(3) 128814
(4) 11881
(5) 11818
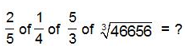
(3)
(1) 6
(2) 7
(3) 8
(4) 9
(5) 5
(4)
(1) 150
(2) -160
(3) 120.4
(4) -120
(5) None of these
Q-(6-10) Read the following information carefully to answer the questions asked
Percent rice in production of 6 companies over the year.
निम्न दी गई जानकारी को ध्यानपूर्वक पढ़े और निम्न प्रश्न के उत्तर दीजिये।
दिये गये वर्षों में 6 कम्पनियों के उत्पादन में प्रतिशत वृद्धि
(6) What is the percent rise in the percent rise of the production of company C in year 2012 from previous year?
पिछले वर्ष से 2012 में कम्पनी C के उत्पादन प्रतिशत वृद्धि में कितने प्रतिशत की वृद्धि हुई?
(1) 25
(2) 75
(3) 125
(4) 175
(5) 225
(7) What is the difference in the percent rise of production of company F in 2014 from 2011?
वर्ष 2011 से 2014 में कम्पनी F के उत्पादन के प्रतिशत वृद्धि का अंतर क्या है?
(1) 10%
(2) 22.22%
(3) 25%
(4) 18.18%
(5) Can't be determined
(8) If the ratio of production of company A in 2012 and company D in 2015 is 4 : 9 then find the ratio between the production of company A in 2013 and company D in 2014.
यदि कम्पनी A के वर्ष 2012 और कम्पनी D के वर्ष 2015 के उत्पादन का अनुपात 4 : 9 है तो कम्पनी A के वर्ष 2013 और कम्पनी D के वर्ष 2014 के उत्पादन का अनुपात ज्ञात कीजिये।
(1) 3 : 4
(2) 4 : 3
(3) 5 : 2
(4) 2 : 5
(5) Data inadequate
(9) If the production of company D in the year 2013 was 357750 units, what was it production in the year 2012?
यदि कम्पनी D के वर्ष 2013 का उत्पादन 357750 इकाई है तो 2012 में इसका उत्पादन क्या होगा?
(1) 256000
(2) 176667
(3) 225000
(4) 198000
(5) 265000
(10) Which company has the highest average percent rise in production over the years?
दिये गये वर्षों में किस कम्पनी की औसत प्रतिशत वृद्धि सर्वाधिक है?
(1) A
(2) B
(3) C
(4) D
(5) Can't be determined
Answer Key-
Q-(1) Sol-(1)
(4.5)3.7+ 2 × 1.3 + 3 × 1.8 = 4.5?+ 5.2
? = 3.7 + 2.6 + 5.4 - 5.2, ? = 6.5
Q-(2) Sol-(2)
14449 + 40 × 35 - 40 = ?, ? = 12809
Q-(7) Sol-(1)
55% - 45% = 10%
Q-(8) Sol-(1)
Q-(10) Sol-(2)
Company B

0 comments:
Post a Comment
MAHENDRA GURU