Dear Readers,
Mahendras has started special quizzes for IBPS PO & Clerk Exam so that you can practice more and more to crack the examination. This IBPS PO & Clerk Exam special quiz series will mold your preparations in the right direction and the regular practice of these quizzes will be really very helpful in scoring good marks in the Examination. Here we are providing you the important question of reasoning ability for the IBPS PO & Clerk Exam Exam.
(1) The probability of Ramesh to hit a target is 0.375. If he hit the target thrice then find the probability that he will hit the target for exactly 2 times.(correct upto two decinmal points)
रमेश के लक्ष्य को भेदने की संभावना 0.375 है। अगर वह लक्ष्य की तरफ तीन बार निशाना लगता है तो प्रायिकता बताइए की वह 2 बार लक्ष्य पर सही निशाना लगाएगा | (दशमलव के बाद दो अंको तक सही )
(1) 0.22
(2) 0.26
(3) 0.15
(4) 0.08
(5) None of these
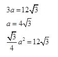
(1) 36 Cm2
(4) 30 Cm2
(5) None of these
(3) In a camp there was sufficient food for 360 persons for 45 days, but after 30 days 140 more people joined the camp. Find by how much percent each need to reduce consumption, so that food may last till 45th day.
एक शिविर में 360 व्यक्तियों के लिए 45 दिनों के लिए पर्याप्त भोजन था, लेकिन 30 दिनों के बाद 140 लोग शिविर में शामिल हुए। पता लगाएं कि प्रत्येक को अपने उपभोग में कितने प्रतिशत की कमी करनी होगी, ताकि भोजन 45 वें दिन तक चल सके।
(1) 25%
(2) 28%
(3) 20%
(4) 27%
(5) None of these
(4) Rs 25920 was invested in a bank which gives
rate of interest per annum compounded annually. If the investment time was 3 years and 3 months, then find the compound interest.
25920 रुपये एक बैंक में निवेश किये गए जो प्रति वर्ष
की वार्षिक दर पर चक्रवृद्धि ब्याज देता है। यदि निवेश का समय 3 साल और 3 महीने है , तो चक्रवृद्धि ब्याजज्ञात करें |
(1) 16955
(2) 17845
(3) 15480
(4) 17545
(5) None of these
(5) The ratio of the radius of two cylinders is 3:4.and the ratio of their volumes is 27:48 What will be the ratio of their curved surface area ?
दो बेलनो की त्रिज्याओ का अनुपात 3: 4 है एवम् उनके आयतनों का अनुपात 27:48 है , तो उनके वक्रपृष्ट क्षेत्रफल का अनुपात ज्ञात कीजिये ?
(1) 1:1
(2) 4:3
(3) 3:4
(4) 16:9
(5) 64:27
Q-(6-10) Read the given information carefully to answer questions asked-
Following table chart shows the quantity of vegetables purchased and sold by a retailer and average price of purchased and sold vegetables
पूछे गए प्रश्नों का जवाब देने के लिए दी गयी जानकारी को ध्यानपूर्वक पढ़ें -
निम्नलिखितटेबल चार्ट एक विक्रेता द्वारा बेचीं गयी तथा खरीदी गयी सब्जियों की मात्रा तथा उनके मूल्य का विवरण देता है -
(6) Find the profit/loss percentage of shopkeeper on Thursday.
गुरुवार को दुकानदार के लाभ / हानि प्रतिशत का पता लगाएं।
(1) 15% profit
(2) 15% loss
(3) 25% profit
(4) 25% loss
(5) None of these
(7) Profit percentage of shopkeeper on Tuesday was how much percent less/more than the profit percentage of shopkeeper on Friday ?
मंगलवार को दुकानदार का लाभ प्रतिशत शुक्रवार को दुकानदार के लाभ प्रतिशत की तुलना में कितना प्रतिशत अधिक/कम था?
(1) 20% more
(2) 20% less
(3) 25% more
(4) 25% less
(5) None of these
(8) Find the total quantity of unsold vegetables during whole week.(in kilograms)
पूरे हफ्ते के दौरान ना बिकने वाली सब्जियों की कुल मात्रा ज्ञात करें । (किलोग्राम में)
(1) 179
(2) 289
(3) 389
(4) 349
(5) None of these
(9) On which day shopkeeper got a loss if unsold vegetable were wasted.
किस दिन दुकानदार को नुक्सान हुआ यदि बिना बिकी सब्जियां ख़राब हो गयी ।
(1) Friday
(2) Wednesday
(3) Tuesday
(4) Monday
(5) None of these
(10) If on Friday shopkeeper sells unsold vegetables at 25% of selling price , then find the new profit percent of shopkeeper.
यदि शुक्रवार को दुकानदार ने ना बिकने वाली सब्जियों को विक्रय मूल्य के 25% दाम पर बेच दिया , तो दुकानदार का नया लाभ प्रतिशत ज्ञात करें।
(1) 30%
(2) 25%
(3) 27.5%
(4) 31.25%
(5) None of these
Answer Key-
Q-(1) Sol-(2)
Clearly he should hit 2 times and miss one time, hence
Required probability=
Q-(2) Sol-(2)
Q-(3) Sol-(2)
let each person conseme 1 food
which is 28% less
Q-(4) Sol-(1)
Q-(5) Sol-(1)
Q-(6) Sol-(5)
On thursday he spend 5600 Rs whereas he got 6160. Hence he got 10 % profit on that day.
Q-(7) Sol-(2)
Q-(8) Sol-(2)
total purchased=2120
total sold=1831
unsold=289 Kg
Q-(9) Sol-(2)
on wednesday he sepends 4750 wheras he got only 4275
Q-(10) Sol-(4)
total cost price =6000
total selling price(before)=7500
profit percent(before)=25%
total selling price(now)=7875
profit percent(now)=31.25%

0 comments:
Post a Comment
MAHENDRA GURU