Dear Readers,
Mahendras has started special quizzes for IBPS PO & Clerk Exam so that you can practice more and more to crack the examination. This IBPS PO & Clerk Exam special quiz series will mold your preparations in the right direction and the regular practice of these quizzes will be really very helpful in scoring good marks in the Examination. Here we are providing you the important question of reasoning ability for the IBPS PO & Clerk Exam Exam.
Q-(1-5) What will come in place of question mark in the following questions?
निम्नलिखित प्रश्नों में प्रश्नवाचक चिन्ह (?) के स्थान पर क्या आयेगा?
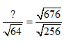
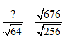
(1) 15
(2) 17
(3) 14
(4) 13
(5) None of these
(2) 480×25 – 8×180=?+32.54
(1) 10527.46
(2) 10792.16
(3) 11242.06
(4) 12324.56
(5) None of these
(3) 8765.45 – 3542.5+4250.25=?+1260
(1) 8132.5
(2) 7926.2
(3) 8213.2
(4) 7925.8
(5) None of these
(4) 65% of 8800 + 18% of 720 = ? – 345.25
(1) 6247.15
(2) 6329.55
(3) 6194.85
(4) 6495.25
(5) None of these
(5) 4840 + 132 × 328 ÷ 8 = ? ×16
(1) 625.25
(2) 650.25
(3) 675.15
(4) 640.75
(5) None of these
(6) The distance between A and B is 2304 km. A train covers a journey between A to B at the uniform speed of 60 km/h and return from B to A at the uniform speed of 40 km/h .What is the average speed of the train during the whole journey?
बिन्दु A और B की दूरी 2304 किमी. है। एक ट्रेन A और B के बीच की दूरी को 60 किमी./घंटा की एक समान गति से तय करती है। और 40 किमी./घंटा की एक समान गति से B से A वापस आती है। समग्र यात्रा के दौरान ट्रेन की औसत गति क्या है?
(1) 24
(2) 36
(3) 40
(4) 48
(5) None of these
(7) Ram takes 10 days less than the time taken by Shyam to finish a piece of work.If both Ram and Shyam can do it in 12 days, then how much time will be taken by Shyam alone to finish the same work ?
एक कार्य पूरा करने में राम को श्याम की तुलना में 10 दिन कम लगते है। यदि राम और श्याम दोंनो मिलकर वह कार्य 12 दिनों में पूरा कर सकते हो तो अकेले श्याम को वह कार्य पूरा करने में कितना समय लगेगा?
(1) 24
(2) 30
(3) 36
(4) 45
(5) None of these
(1) 3149.28
(2) 3243.48
(3) 3649.42
(4) 3312.18
(5) None of these
(9) What is the longest rod that can be placed in a room which is 9 metre long ,11metre broad and
metre high?
(1) 12
(2) 15
(3) 18
(4) 12.5
(5) None of these
(10) Ram purchased an item of Rs-80000 and sold it at a loss of 32% with this amount he purchased another item and sold it again at of 20% profit .What is his over all profit/loss ?
राम ने वस्तु रू 80000 में खरीद कर 32% घाटे सहित बेच दी। इस राशि से उसने दूसरी वस्तु खरीदी और उसे 20% लाभ पर बेचा तो उसे पूरी प्रक्रिया में लाभ/हानि क्या है?
(1) 13240
(2) 14720
(3) 15240
(4) 17520
(5) None of these
Answer Key-
Q-(1) Sol-(4)
Q-(2) Sol-(1)
12000–1440–32.54=?
?=12000–1472.54
?=10527.46
Q-(3) Sol-(3)
13015.7 –4802.5=?
? =8213.2
Q-(4) Sol-(3)
5720+129.6+345.25=?
? =6194.85
Q-(5) Sol-(4)
Q-(6) Sol-(4)
Q-(7) Sol-(2)
Let Shyam can do work in x days and Ram can do work in(x–10)
According to question:
Q-(8) Sol-(1)
Q-(9) Sol-(2)
Q-(10) Sol-(2)

0 comments:
Post a Comment
MAHENDRA GURU