Dear Readers,
Mahendras has started special quizzes for IBPS PO & Clerk Exam so that you can practice more and more to crack the examination. This IBPS PO & Clerk Exam special quiz series will mold your preparations in the right direction and the regular practice of these quizzes will be really very helpful in scoring good marks in the Examination. Here we are providing you the important question of reasoning ability for the IBPS PO & Clerk Exam Exam.
Q-(1-5) Find the value of variables and state the correct relationship.
चरों का मान ज्ञात कीजिए तथा सही सम्बन्ध स्थापित कीजिए-
(1) I. 3x - 2y =3
II. x2 + y2 = 130
(1) If x > y
(2) If x < y
(3) If x > y
(4) If x < y
(5) If x = y or relationship cannot be established.
(2) I. 4x2 - 15x + 9 = 0
II. 10y2 - 21y + 9 = 0
(1) If x > y
(2) If x < y
(3) If x > y
(4) If x < y
(5) If x = y or relationship cannot be established.
(3) I. x3 = - 2744
II. y2 = 180
(1) If x > y
(2) If x < y
(3) If x > y
(4) If x < y
(5) If x = y or relationship cannot be established.
(4) I. x2 - 6x - 135 = 0
II. y2 - 38y + 345 = 0
(1) If x > y
(2) If x < y
(3) If x > y
(4) If x < y
(5) If x = y or relationship cannot be established.
(5) I. x2 = 800
II. y2 = 600
(1) If x > y
(2) If x < y
(3) If x > y
(4) If x < y
(5) If x = y or relationship cannot be established.
Q-(6-10) What should come at place of question mark (?) in the following questions?
निम्नलिखित प्रश्नों में प्रश्नवाचक चिन्ह (?) के स्थान पर क्या मान आयेगा?
(6) 84% of 740 = ?% of 277.5
(1) 227
(2) 312
(3) 284
(4) 216
(5) None of these
(7) 19.52 + 44.52 = 127.5% of 840 + ?
(1) 1184.25
(2) 1311.5
(3) 1289.5
(4) 1266.5
(5) None of these
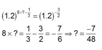
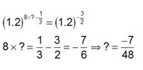
(1) 48/8
(2) -48/7
(3) 7/48
(4) -7/48
(5) None of these
(9) 84.24 × 124 + 17.42 = 480% of ?
(1) 2344.125
(2) 2239.275
(3) 2755.5
(4) 3015.875
(5) None of these
(10) 134% of 920 - 210% of 640 = ?2 - 192.2
(1) 7
(2) 11
(3) 5
(4) 9
(5) None of these
Answer Key-
Q-(1) Sol-(2)
x = 7, y = 9
x < y
Q-(2) Sol-(5)
Q-(3) Sol-(2)
x = -14
y = +13.5t, - 13.5t
So x < y
Q-(4) Sol-(4)
x = 15, - 9
y = 15, 23
x < y
Q-(5) Sol-(5)
No relationship can be established
Q-(6) Sol-(5)
Q-(7) Sol-(3)
380.25 + 1980.25 - 1071 = ?
? = 1289.5
Q-(8) Sol-(4)
Q-(9) Sol-(2)
Q-(10) Sol-(4)
123.8 - 1344 = ?2 - 192.2
?2 = - 111.2 + 192.2
?2 = 81
? = 9

0 comments:
Post a Comment
MAHENDRA GURU